大数据文摘出品
作者:曹培信、宁静
一年一度的大学开学季,一年一度的军训季。
在六月中旬高考结束之后,万千学子迎来了他们人生中最长也是最无忧无虑的假期,到了八月底九月初,他们将踏上人生的一段重要旅程——大学。
然而等待他们的第一课,便是军训。
每所高校对军训的要求不同,从时间来看,短的只有5天,长的多达一个月,根据网上一份军训时间排行榜,比如清华大学,以34天稳居第二。(警校排第一也是无可厚非了,不过吉林的院校确实热衷军训,前十中两所吉林的院校上榜)

除了一些开始又晚、时间又长的院校(比如重庆大学),大部分院校的军训应该已经结束了,然而经历了军姿、齐步、正步、阅兵甚至拉练的“摧残”后,军训岁月在身上留下的最深的痕迹便是——晒!黑!了!

图片来自网络
军训前和军训后,就是“白古”和“黑古”的差别啊!想知道自己军训后究竟晒黑了多少么?下面文摘菌就带你用Python看看,自己究竟军训后黑了几个度。
想知道自己的皮肤颜色,首先要将皮肤检测出来。
肤色检测有很多方法,比如:
相关链接:
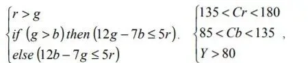
https://blog.csdn.net/qq_22527639/article/details/815015652004年,Georgy Kukharev和Adam Nowosielski为了提高模型的稳定性,将多个颜色空间结合,提出RGB颜色空间和YCbCr颜色空间的混合肤色检测器。像素值满足如下条件:

实现的代码也很简单,首先引入必要的包:
import cv2import numpy as npfrom matplotlib import pyplot as plt
然而操纵图像,将RGB颜色空间3通道的值和YCbCr颜色空间3通道的值结合起来,然后根据判别条件进行肤色检测:
def skin_color(imgFile): # load an original image img = cv2.imread(imgFile) rows,cols,channels = img.shape # convert color space from rgb to ycbcr imgYcc = cv2.cvtColor(img, cv2.COLOR_BGR2YCR_CB) # convert color space from bgr to rgb img = cv2.cvtColor(img, cv2.COLOR_BGR2RGB) # prepare an empty image space imgSkin = np.zeros(img.shape, np.uint8) # copy original image imgSkin = img.copy() s=0 sum_R=sum_G=sum_B=0 for r in range(rows): for c in range(cols): # non-skin area if skin equals 0, skin area otherwise skin = 0 # get values from rgb color space R = img.item(r,c,0) G = img.item(r,c,1) B = img.item(r,c,2) # get values from ycbcr color space Y = imgYcc.item(r,c,0) Cr = imgYcc.item(r,c,1) Cb = imgYcc.item(r,c,2) # skin color detection if R > G and R > B: if (G >= B and 5 * R - 12 * G + 7 * B >= 0) or (G < B and 5 * R + 7 * G - 12 * B >= 0): if Cr > 135 and Cr < 180 and Cb > 85 and Cb < 135 and Y > 80: # print 'Skin detected!'
参考链接:
https://blog.csdn.net/shadow_guo/article/details/43635181检测出了皮肤的区域,我们就需要将皮肤区域的颜色RGB值计算出来,然后与色卡进行对比。
说到色卡,不得不提到Pantone(潘通)——一家专注于研究颜色的公司,以其Pantone颜色匹配系统(PMS)而闻名,该系统被广泛用于各种行业,特别是平面设计,时装设计,产品设计,印刷和制造,并支持从设计到生产的色彩管理。
2013年,潘通发布了一款彩通肤色指南(PANTONE SkinTone Guide),这个指南根据科学测量各种人类皮肤类型中数千种实际肤色而建立,为再现实体肤色而配制,被称为人类肤色的完整视觉参考。
110种人类肤色被从1Y01 SP至4R15 SP编号,适用于各个人种。

文摘菌从中选取了比符合中国人肤色的1Y01-1Y13作为对比色卡。

然后将肤色颜色RGB与色卡的RGB数值进行对比,因为人眼对于R、G、B的敏感程度不同,在转换的时候需要给予不同的权重。

人类视觉对绿色最敏感,因此它具有最大的系数值(0.7152),对蓝色最不敏感,因此具有最小的系数(0.0722)。
def Compare(list,color): min=100 count=len(list) for i in range(count): value=list[i] error=abs(color[0]-value[0])*0.2126+abs(color[1]-value[1])*0.7152+abs(color[2]-value[2])*0.0722 if(error<min): min=error index=i return index+1
最后我们输入“白古”和“黑古”的图片,与比色卡的RGB数值进行对比,输出结果:
if __name__ == '__main__': img_before= 'images/before1.jpg' img_after='images/after.jpg' color_before=skin_color(img_before) color_after=skin_color(img_after) print("before:the extracted RGB value of the skin color is {0}".format(color_before)) print("after:the extracted RGB value of the color is {0}".format(color_after)) list=[(200, 172, 153), (200, 169, 149), (197, 166, 145), (194, 163, 142), (190, 157, 134), (187, 152, 129), (182, 146, 121), (177, 136, 108), (168, 127, 100), (160, 118, 90), (148, 108, 81), (135, 98, 73), (119, 87, 65)] #color_dir="skin_color" #skincolor.load_color(color_dir,list) #print(list) #print(list) degree_before=Compare(list,color_before) degree_after=Compare(list,color_after) print("before:the degree of the skin color is {0}".format(degree_before)) print("after:the degree of the skin color is {0}".format(degree_after))
输出的结果如下图所示:

也就是说,“黑古”比“白古”整整黑了5个度,虽然文摘菌认为结果可能还有偏差,因为12是比色表的最高值,“黑古”很可能已经爆表了。
也许当你拍下自己军训后的照片,用文摘菌的代码和自己一个月前的自拍对比了一下,然后留下了伤心的眼泪。
文摘菌想告诉你:你不是一个人在战斗!
今年参加军训的大学新生有数百万,短则5天,长则一个月的军训,风吹日晒,大家的皮肤变黑在所难免,然而,就算是1个月的军训,也并不能真正掌握多少军事技能,其实重要的还是原本初次见面还陌生的同班同学,通过军训开始熟络起来;原本还陌生的校园,也齐步走了几个来回。
可以说,军训是大学的预科班,结束了军训,就正式开始了大学生活。
文摘菌本着行业内人士的身份,自然要对那些报读计算机相关专业的新生们说一句:军训结束,你们写代码的日子就要开始了!
也许在某个深夜,当你停下敲击键盘的双手,抚摸着额前稀疏的头发,你可能会意识到,原来军训并不是大学最痛苦的时候。
最后,需要完整代码的同学请在后台回复“军训”,也许当你某一门课需要交个小作业的时候,文摘菌只能帮你到这了!
数字经济人才专场研讨会
实习/全职编辑记者招聘ing
加入我们,亲身体验一家专业科技媒体采写的每个细节,在最有前景的行业,和一群遍布全球最优秀的人一起成长。坐标北京·清华东门,在大数据文摘主页对话页回复“招聘”了解详情。简历请直接发送至zz@bigdatadigest.cn