专题一:碳中和下气溶胶的研究意义与课程总体数据产品介绍(原理篇)
1.“碳中和”下气溶胶研究意义
气溶胶基本概念
气溶胶基本类型
气溶胶对全球季风区域的影响
气溶胶对东亚季风区淮河流域的影响

2.MODIS和CALIPSO观测平台
Train卫星介绍
MODIS仪器介绍
MODIS的产品介绍


CALIOP仪器介绍
CALIPOP产品介绍
3.地基太阳光度计观测平台(AERONET):
AERONET数据下载
AERONET数据筛选(Level 1.0
(未筛选),Level 1.5(云筛
选和质量控制)和Level 2.0
(保证质量 )
AERONET数据下载选择(光学厚度、波长指数等)
AERONET数据转换成CSV文件,python的pandas库处理
专题二:夯实Python语言基础和相关软件安装(实战基础篇)
1.Python环境的安装(Anaconda环境安装,虚拟环境的配置,Jupyter Notebook安装)
2.Python相关库原理介绍(Numpy,Pandas,Matplotlib,Cartopy,Pyhdf)
3.Jupyter Notebook实操
Numpy库学习(最小值,最大值,平均值,标准差,NaN数据)
Matplotlib库学习(折线图,散点图,饼状图,热力图)
Pandas库学习(读取Aeronet的csv文件,处理气溶胶数据,通过质量控制,数据筛选展现气溶胶光学厚度日变化图)
Cartopy库学习(投影方式;分辨率,海岸线,河流,国界线;轨迹线;截取区域)
Pyhdf库学习(读取MODIS属性名)
专题三:MODIS气溶胶数据处理与反演分析(实战进阶篇)
1、MODIS气溶胶数据下载(选择对应产品,时间,区域,Wget下载,World View云图相关云图)
2.下载安装MODIS数据软件(查询和绘图)
HDFView下载安装
Panoply下载安装
3.详细介绍MODIS产品原理:
暗目标(Dark Target)(主要处理洋面和植被覆盖的陆地数据)
深蓝法(Deep Blue)(主要处理干旱和沙漠地表的数据)
理解MODIS文件名含义
4.Jupyter Notebook实操MODIS数据
通过python代码画出DT-Ocean的AOD和FMF彩图
通过python画出DT-LAND画出陆地AOD和FMF彩图(陆地数据质量控制,选择QA==3的陆地数据)
暗目标法和深蓝法数据联合绘图
绘制沙尘暴天气气溶胶彩图(此图可以看出沙尘暴天气强度)
绘制区域气溶胶四季变化图(此图可以分析出该区域四季光学厚度季节变化)
专题四:CALIPSO气溶胶数据处理及反演分析(实战进阶篇)
1.CALIPSO气溶胶数据下载(包括333m混合层、1km云层、5km云层、5km气溶胶层、5km混合层、5km云廓线等)
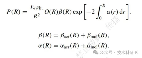
2.激光雷达原理介绍(后向回波信号原理,公式讲解。后向散射系数、消光系数、退偏比、彩色比等相关参数介绍,CALIOP并通过这些参数将气溶胶分类)
3.Jupyter Notebook实操CALIOP数据:
绘制CALIOP数据轨迹图,通过轨迹图确实研究区域
绘制特征类型轨迹图
绘制CALIOP特征图和不同气溶胶类型图
绘制气溶胶类型饼状图(分析该地区气溶胶类型)
绘制CALIOP气溶胶数据年趋势变化和月份变化图(分析该地区污染变化)
绘制气溶胶消光系数和出现率季节变化图(分析该地区季节变化导致气溶胶变化)
绘制气溶胶AOD,颜色比,退偏比彩图
专题五:深度学习简介与深度学习处理MODIS云案例(进阶篇)
1.引言与背景
机器学习与深度学习概述
深度学习的发展历程与应用领域
2.神经网络基础
人工神经网络(ANN)概述
感知器与激活函数
前向传播与反向传播
损失函数与优化算法(如梯度下降法)
3.常用深度学习模型
卷积神经网络(CNN)
卷积操作与池化层
CNN架构与应用(如图像分类)
经典CNN模型
4.通过Kaggle平台了解相应的机器学习处理MODIS数据
专题六:课程扩展(卷云特诊)和论文写作分析
1.卷云的原理和特征,及其四季宏观变化
2.论文写作要点
3.论文投稿期刊选择(查看对应期刊)
4.案例分析