当前位置:首页>java>代码分享 | 基于马赛克算法的图像加密

代码分享 | 基于马赛克算法的图像加密

  • 2026-03-29 15:34:28
代码分享 | 基于马赛克算法的图像加密

1.引言

图像马赛克处理是一种重要的图像处理技术,其核心思想是将图像划分为若干个矩形区域,对每个区域内的像素进行统一处理,使得区域内所有像素值相同,从而形成块状的模糊效果。这种技术在图像隐私保护、艺术效果生成等领域有着广泛应用。

2.数学原理基础

图像表示模型

数字图像可以表示为一个二维矩阵,对于彩色图像,通常采用RGB色彩空间模型。设原图像为f(x,y),其中(x,y)表示像素坐标,f(x,y)=[fR(x,y),fG(x,y),fB(x,y)]分别表示红、绿、蓝三个颜色通道的像素值。对于一幅高为h、宽为w的图像,其数学表示为:

马赛克区域划分

马赛克算法首先需要将图像划分为大小为n×n的矩形块。设图像尺寸为h×w,马赛克块大小为n×n,则理想情况下需要的块数为⌈h/n⌉×⌈w/n⌉。由于图像尺寸可能不是n的整数倍,算法采用向下取整的方式处理:

这样处理后,主图像区域被划分为规则的n×n块,剩余的边界区域单独处理。

2.均值滤波算法原理

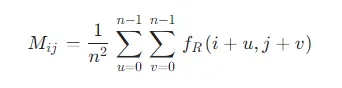
均值算子数学定义

马赛克算法的核心是均值滤波操作。对于一个n×n的像素块,均值算子定义为:

其中Mij表示以(i,j)为左上角顶点的n×n块的均值,fR表示红色通道的像素值函数。该公式表明,块内每个像素的新值都等于该块内所有像素值的算术平均值。

二维均值滤波器

从滤波器的角度看,均值滤波可以看作是一个大小为n×n的线性滤波器,其卷积核为:

该滤波器的频率响应函数为:

这是一个低通滤波器,在频域中抑制高频分量,保留低频分量,从而实现平滑效果。

3.算法实现的数学分析

区域处理策略

算法采用分块处理的策略,将整个图像处理过程分解为4个部分:

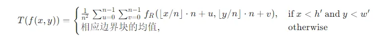
主区域处理:对[1,h′]×[1,w′]范围内的像素进行标准的n×n块处理

边界行处理:对[h′,h]×[1,w′]范围内的像素进行特殊处理

边界列处理:对[1,h′]×[w′,w]范围内的像素进行特殊处理

角落处理:对[h′,h]×[w′,w]范围内的像素进行最后处理

马赛克变换函数

设马赛克变换函数为T,则对于任意像素(x,y),其变换后的值为:

色彩空间处理

算法分别对RGB三个通道进行独立处理,这是因为RGB色彩空间中各通道相对独立。对于每个通道,处理过程相同。

4.算法复杂度分析

时间复杂度

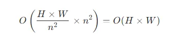
设图像大小为H×W,马赛克块大小为n×n,则算法的时间复杂度为:

虽然需要对每个块计算均值,但总的像素访问次数仍为O(H×W)。

空间复杂度

算法需要存储原图像和目标图像,空间复杂度为O(H×W)。

5.算法优缺点分析

优点

计算简单:仅需基本的算术运算,无需复杂的数学变换

效果明显:能够有效实现隐私保护目的

参数少:只需设置块大小一个参数

缺点

边缘模糊:会破坏图像的边缘细节

块效应:产生明显的矩形块边界

信息损失:不可逆的信息丢失

6.改进方向

虽然该算法实现了基本的马赛克效果,但可以考虑以下改进:

自适应块大小:根据图像内容调整块大小

边缘检测:结合边缘信息减少边缘模糊

多尺度处理:采用金字塔结构进行多尺度马赛克

7.结论

基于均值滤波的马赛克算法通过将图像划分为规则块并对每块进行均值处理,实现了简单而有效的图像模糊化效果。该算法数学原理清晰,实现简单,是图像隐私保护的基础技术之一。通过对算法原理的深入分析,可以为后续的算法优化和改进提供理论基础。

代码

%均值处理方式加马赛克%参数说明:f表示原图;fr,fg,fb表示原图的RGB三个通道%imgn表示新图像%imgnr,imgng,imgnb表示新图像的三个通道,分别用于存储新的图像%n*n表示设置的马赛克区域像素块的大小clear all;close all;clc;%原图的路径f = imread('自己的图像存储位置');%将源图像三个通道值取出fr = f(:,:,1);fg = f(:,:,2);fb = f(:,:,3);%由于原图像是三维h*w*3,求出单通道图像的大小[h w] = size(fr);%设置三个零矩阵用于存储新图像imgnr = zeros(h,w);imgng = zeros(h,w);imgnb = zeros(h,w);%设置马赛克区域n*n像素块大小n = 20;nh = floor(h/n)*n;%将不一定是n的整数倍的图像大小化为整数倍nw = floor(w/n)*n;%对R通道进行处理for j = 1:n:nh    for i = 1:n:nw        imgnr(j:j+n-1i:i+n-1) =mean(mean(fr(j:j+n-1i:i+n-1)));%对列进行取均值处理    end    imgnr(j:j+n-1,nw:w ) = mean(mean(fr(j:j+n-1,nw:w )));%处理最后的列endfor i = 1:n:nw    imgnr(nh:h, i:i+n-1) = mean(mean(fr(nh:h, i:i+n-1)));%处理最后的行endimgnr(nh:h, nw:w) = mean(mean(fr(nh:h, nw:w)));%处理最后的角%处理G通道for j = 1:n:nh    for i = 1:n:nw        imgng(j:j+n-1i:i+n-1) =mean(mean(fg(j:j+n-1i:i+n-1)));     end    imgng(j:j+n-1nw:w) = mean(mean(fg(j:j+n-1nw:w)));endfor i = 1:n:nw    imgng(nh:h, i:i+n-1) = mean(mean(fg(nh:h, i:i+n-1)));endimgng(nh:h, nw:w) = mean(mean(fg(nh:h, nw:w)));%处理B通道for j = 1:n:nh    for i = 1:n:nw        imgnb(j:j+n-1i:i+n-1) = mean(mean(fb(j:j+n-1i:i+n-1)));    end    imgnb(j:j+n-1nw:w) = mean(mean(fb(j:j+n-1nw:w)));endfor i = 1:n:nw    imgnb(nh:h,i:i+n-1) = mean(mean(fb(nh:h, i:i+n-1)));endimgnb(nh:h, nw:w) = mean(mean(fb(nh:h, nw:w)));%三通道图像合成imgnr = im2double(imgnr)/255;imgng = im2double(imgng)/255;imgnb = im2double(imgnb)/255;imgn = cat(3,imgnr, imgng, imgnb);imshowpair(f,imgn,'montage');%两张图片显示title('原图                                                  马赛克处理后图像');

计算结果

使用例1

计算机视觉女神——Lena Soderberg

在计算机视觉领域,Lena图像作为标准测试图的起源具有独特的历史背景。1973年,南加州大学研究团队在筹备图像压缩算法研究时,急需一张包含丰富纹理、动态范围和人脸特征的测试图像。团队成员偶然使用《花花公子》杂志1972年11月刊的插页图片(瑞典模特Lena Forsén的肩部以上肖像),经扫描后截取512×512像素区域,成为后来广泛传播的经典测试图。

该图像因具备理想的光影过渡、细节层次和面部特征,迅速被学术圈采纳为标准测试素材。1997年,Lena Forsén本人受邀出席第50届图像科学技术年会(IS&T),标志着其公众认知度的提升。

然而,该图像的原始来源涉及成人杂志的历史背景,逐渐引发学术伦理争议。2024年4月,IEEE计算机协会正式宣布,基于尊重主体意愿及推动学术包容性的原则,其旗下期刊将不再接收包含该图像的论文,宣告了其在主流学术场景中近半个世纪的应用周期正式结束。

值得注意的是,Lena图在技术演进中衍生出多分辨率版本(如256×256标准测试集),其频域特性与空间域特征为图像压缩算法(JPEG)、滤波器设计、特征提取等研究提供了重要基准。这一案例折射出学术研究标准建立与时代伦理认知的演进关系。

使用例2

最后的哨兵——瓦列里·萨布林

与驾驶米格25叛逃日本的别连科、驾驶米格29叛逃像土耳其的祖耶夫不同,瓦列里.萨布林并非仕途不顺——事实上,这位年轻的政委不但自己在事业上如同一颗燃起的新星,出生在海军世家的他,如果安分守己的走完与苏联无数官二代一样的一生,在那个特权阶级横行的勃列日涅夫时代,无疑可以混得风生水起。

然而,从一开始,萨布林就展现出了同海军大院里的其他人截然不同的人生,当别人只是把共产主义当成纯粹写在纸面上的东西,当成考试时的答案的时候,他把这些东西当成自己的信仰,当成贯彻自己的思维指引自己前进的信念。这位优秀的学生从伏龙芝军事学院毕业编入苏联北方舰队后,以30岁左右的年纪便成为副舰长。

在所有人都以为他会凭着自己的优秀在仕途上扶摇直上的时候,他却迷茫了,他越来越发现身边的人并非纯粹的共产主义者,甚至有的人一直在私底下讨论着完全相反的论调。于是,他做出了一个重大的决定——放弃自己的指挥官生涯,进入列宁军政学院深造。又知道。从列宁军政学院出来,就意味着他以后不能再从事指挥工作,只能成为一名政工人员,而在苏联,政工人员的晋升速度远远慢于指挥官。

然而,在列宁军政学院,本来以为自己能学到最原汁原味的共产主义的萨布林再次绝望了,在学院里如饥似渴的阅读着共产主义先辈书籍的萨布林发现,在这本应是苏联最纯洁,最崇高的意识形态学府,充斥着的却是一群想用就读经历在自己履历上镀金的高官子弟,甚至连讲述理论知识的老师对自己所讲述的东西也是似懂非懂,甚至根本不相信。在绝望中的他,如坠入深渊,他发现身边的那些苏联高官。早已把共产主义信仰抛之脑后,取而代之的是赤裸裸的利己主义官僚主义和拜金主义,而这样的人,居然在苏联占据着统治阶级。

一个可怕的结论,从他脑海中生出——现在的苏联已经从根上坏掉了,已经成一颗中心腐烂的大树。1975年11月,他在警戒号反潜舰上发动了一次起义,希望能借此在苏联发动一次新的列宁主义革命(第二次十月革命)。萨布林将船长锁在下层甲板中,之后劫持了警戒号,并且在军官活动室中召集了所有军官。萨布林计划将船从里加湾通过芬兰湾开至列宁格勒,之后以致敬阿芙乐尔号巡洋舰的方式穿过涅瓦河,在那里他将通过无线电和广播通报勃列日涅夫时代的腐化,他计划将人们私底议论的东西搬到台面上来:革命到了危急时刻,苏联领导人放弃了列宁主义,这就是为什么骚乱、腐败、贪污、谎言会在苏联盛行,并最终会将苏联拖入深渊。但他最终失败,并在9个月后于1976年8月3日被苏联当局以叛国罪处以死刑。

虽然这项罪名一般而言,最多被判处15年有期徒刑,但是勃列日涅夫执意要处死萨布林——而且,最具羞辱性的是,为了防止苏联社会因为这场革命产生动荡,苏联高层咬死了萨布林就是想要叛逃到瑞典,并把他作为叛国的典范,在全国范围内宣传。这件事情还激发汤姆.克兰西创作一部描述苏联海军军官叛逃西方的小说《猎杀红色十月》。在苏联解体之后,萨布林的真实目的才终于被公诸于世。而他为了列宁主义光荣牺牲的壮举也让他被国际互联网上的左翼人士誉为“我们这个时代的列宁主义者”。

最后,附上瓦列里:萨布林在行刑前给他的儿子的最后一封信:“(我)相信历史将会公正的评价这件事,因此你不必为你的父亲的所作所为有所尴尬。我绝不会成为那些只会停留在口头批评一般的人。那些人是伪善、弱小、毫无价值的人,他们永远也不会有能力调和自己的信念和行为。亲爱的儿子,我希望你能保持你的决心:坚信生活的美好,保持乐观的态度,要知道革命总是无往不胜的。”

与我交流(为方便长期交流合作,加友请按要求备注行业/专业,不胜感激))

微信号wx18813053116

常用马甲|Grandfissure

最新文章

随机文章

基本 文件 流程 错误 SQL 调试
  1. 请求信息 : 2026-03-29 17:24:15 HTTP/2.0 GET : https://f.mffb.com.cn/a/466618.html
  2. 运行时间 : 0.191758s [ 吞吐率:5.21req/s ] 内存消耗:4,467.45kb 文件加载:140
  3. 缓存信息 : 0 reads,0 writes
  4. 会话信息 : SESSION_ID=7ec60e8aef546a87e08bc256198915d7
  1. /yingpanguazai/ssd/ssd1/www/f.mffb.com.cn/public/index.php ( 0.79 KB )
  2. /yingpanguazai/ssd/ssd1/www/f.mffb.com.cn/vendor/autoload.php ( 0.17 KB )
  3. /yingpanguazai/ssd/ssd1/www/f.mffb.com.cn/vendor/composer/autoload_real.php ( 2.49 KB )
  4. /yingpanguazai/ssd/ssd1/www/f.mffb.com.cn/vendor/composer/platform_check.php ( 0.90 KB )
  5. /yingpanguazai/ssd/ssd1/www/f.mffb.com.cn/vendor/composer/ClassLoader.php ( 14.03 KB )
  6. /yingpanguazai/ssd/ssd1/www/f.mffb.com.cn/vendor/composer/autoload_static.php ( 4.90 KB )
  7. /yingpanguazai/ssd/ssd1/www/f.mffb.com.cn/vendor/topthink/think-helper/src/helper.php ( 8.34 KB )
  8. /yingpanguazai/ssd/ssd1/www/f.mffb.com.cn/vendor/topthink/think-validate/src/helper.php ( 2.19 KB )
  9. /yingpanguazai/ssd/ssd1/www/f.mffb.com.cn/vendor/topthink/think-orm/src/helper.php ( 1.47 KB )
  10. /yingpanguazai/ssd/ssd1/www/f.mffb.com.cn/vendor/topthink/think-orm/stubs/load_stubs.php ( 0.16 KB )
  11. /yingpanguazai/ssd/ssd1/www/f.mffb.com.cn/vendor/topthink/framework/src/think/Exception.php ( 1.69 KB )
  12. /yingpanguazai/ssd/ssd1/www/f.mffb.com.cn/vendor/topthink/think-container/src/Facade.php ( 2.71 KB )
  13. /yingpanguazai/ssd/ssd1/www/f.mffb.com.cn/vendor/symfony/deprecation-contracts/function.php ( 0.99 KB )
  14. /yingpanguazai/ssd/ssd1/www/f.mffb.com.cn/vendor/symfony/polyfill-mbstring/bootstrap.php ( 8.26 KB )
  15. /yingpanguazai/ssd/ssd1/www/f.mffb.com.cn/vendor/symfony/polyfill-mbstring/bootstrap80.php ( 9.78 KB )
  16. /yingpanguazai/ssd/ssd1/www/f.mffb.com.cn/vendor/symfony/var-dumper/Resources/functions/dump.php ( 1.49 KB )
  17. /yingpanguazai/ssd/ssd1/www/f.mffb.com.cn/vendor/topthink/think-dumper/src/helper.php ( 0.18 KB )
  18. /yingpanguazai/ssd/ssd1/www/f.mffb.com.cn/vendor/symfony/var-dumper/VarDumper.php ( 4.30 KB )
  19. /yingpanguazai/ssd/ssd1/www/f.mffb.com.cn/vendor/topthink/framework/src/think/App.php ( 15.30 KB )
  20. /yingpanguazai/ssd/ssd1/www/f.mffb.com.cn/vendor/topthink/think-container/src/Container.php ( 15.76 KB )
  21. /yingpanguazai/ssd/ssd1/www/f.mffb.com.cn/vendor/psr/container/src/ContainerInterface.php ( 1.02 KB )
  22. /yingpanguazai/ssd/ssd1/www/f.mffb.com.cn/app/provider.php ( 0.19 KB )
  23. /yingpanguazai/ssd/ssd1/www/f.mffb.com.cn/vendor/topthink/framework/src/think/Http.php ( 6.04 KB )
  24. /yingpanguazai/ssd/ssd1/www/f.mffb.com.cn/vendor/topthink/think-helper/src/helper/Str.php ( 7.29 KB )
  25. /yingpanguazai/ssd/ssd1/www/f.mffb.com.cn/vendor/topthink/framework/src/think/Env.php ( 4.68 KB )
  26. /yingpanguazai/ssd/ssd1/www/f.mffb.com.cn/app/common.php ( 0.03 KB )
  27. /yingpanguazai/ssd/ssd1/www/f.mffb.com.cn/vendor/topthink/framework/src/helper.php ( 18.78 KB )
  28. /yingpanguazai/ssd/ssd1/www/f.mffb.com.cn/vendor/topthink/framework/src/think/Config.php ( 5.54 KB )
  29. /yingpanguazai/ssd/ssd1/www/f.mffb.com.cn/config/app.php ( 0.95 KB )
  30. /yingpanguazai/ssd/ssd1/www/f.mffb.com.cn/config/cache.php ( 0.78 KB )
  31. /yingpanguazai/ssd/ssd1/www/f.mffb.com.cn/config/console.php ( 0.23 KB )
  32. /yingpanguazai/ssd/ssd1/www/f.mffb.com.cn/config/cookie.php ( 0.56 KB )
  33. /yingpanguazai/ssd/ssd1/www/f.mffb.com.cn/config/database.php ( 2.48 KB )
  34. /yingpanguazai/ssd/ssd1/www/f.mffb.com.cn/vendor/topthink/framework/src/think/facade/Env.php ( 1.67 KB )
  35. /yingpanguazai/ssd/ssd1/www/f.mffb.com.cn/config/filesystem.php ( 0.61 KB )
  36. /yingpanguazai/ssd/ssd1/www/f.mffb.com.cn/config/lang.php ( 0.91 KB )
  37. /yingpanguazai/ssd/ssd1/www/f.mffb.com.cn/config/log.php ( 1.35 KB )
  38. /yingpanguazai/ssd/ssd1/www/f.mffb.com.cn/config/middleware.php ( 0.19 KB )
  39. /yingpanguazai/ssd/ssd1/www/f.mffb.com.cn/config/route.php ( 1.89 KB )
  40. /yingpanguazai/ssd/ssd1/www/f.mffb.com.cn/config/session.php ( 0.57 KB )
  41. /yingpanguazai/ssd/ssd1/www/f.mffb.com.cn/config/trace.php ( 0.34 KB )
  42. /yingpanguazai/ssd/ssd1/www/f.mffb.com.cn/config/view.php ( 0.82 KB )
  43. /yingpanguazai/ssd/ssd1/www/f.mffb.com.cn/app/event.php ( 0.25 KB )
  44. /yingpanguazai/ssd/ssd1/www/f.mffb.com.cn/vendor/topthink/framework/src/think/Event.php ( 7.67 KB )
  45. /yingpanguazai/ssd/ssd1/www/f.mffb.com.cn/app/service.php ( 0.13 KB )
  46. /yingpanguazai/ssd/ssd1/www/f.mffb.com.cn/app/AppService.php ( 0.26 KB )
  47. /yingpanguazai/ssd/ssd1/www/f.mffb.com.cn/vendor/topthink/framework/src/think/Service.php ( 1.64 KB )
  48. /yingpanguazai/ssd/ssd1/www/f.mffb.com.cn/vendor/topthink/framework/src/think/Lang.php ( 7.35 KB )
  49. /yingpanguazai/ssd/ssd1/www/f.mffb.com.cn/vendor/topthink/framework/src/lang/zh-cn.php ( 13.70 KB )
  50. /yingpanguazai/ssd/ssd1/www/f.mffb.com.cn/vendor/topthink/framework/src/think/initializer/Error.php ( 3.31 KB )
  51. /yingpanguazai/ssd/ssd1/www/f.mffb.com.cn/vendor/topthink/framework/src/think/initializer/RegisterService.php ( 1.33 KB )
  52. /yingpanguazai/ssd/ssd1/www/f.mffb.com.cn/vendor/services.php ( 0.14 KB )
  53. /yingpanguazai/ssd/ssd1/www/f.mffb.com.cn/vendor/topthink/framework/src/think/service/PaginatorService.php ( 1.52 KB )
  54. /yingpanguazai/ssd/ssd1/www/f.mffb.com.cn/vendor/topthink/framework/src/think/service/ValidateService.php ( 0.99 KB )
  55. /yingpanguazai/ssd/ssd1/www/f.mffb.com.cn/vendor/topthink/framework/src/think/service/ModelService.php ( 2.04 KB )
  56. /yingpanguazai/ssd/ssd1/www/f.mffb.com.cn/vendor/topthink/think-trace/src/Service.php ( 0.77 KB )
  57. /yingpanguazai/ssd/ssd1/www/f.mffb.com.cn/vendor/topthink/framework/src/think/Middleware.php ( 6.72 KB )
  58. /yingpanguazai/ssd/ssd1/www/f.mffb.com.cn/vendor/topthink/framework/src/think/initializer/BootService.php ( 0.77 KB )
  59. /yingpanguazai/ssd/ssd1/www/f.mffb.com.cn/vendor/topthink/think-orm/src/Paginator.php ( 11.86 KB )
  60. /yingpanguazai/ssd/ssd1/www/f.mffb.com.cn/vendor/topthink/think-validate/src/Validate.php ( 63.20 KB )
  61. /yingpanguazai/ssd/ssd1/www/f.mffb.com.cn/vendor/topthink/think-orm/src/Model.php ( 23.55 KB )
  62. /yingpanguazai/ssd/ssd1/www/f.mffb.com.cn/vendor/topthink/think-orm/src/model/concern/Attribute.php ( 21.05 KB )
  63. /yingpanguazai/ssd/ssd1/www/f.mffb.com.cn/vendor/topthink/think-orm/src/model/concern/AutoWriteData.php ( 4.21 KB )
  64. /yingpanguazai/ssd/ssd1/www/f.mffb.com.cn/vendor/topthink/think-orm/src/model/concern/Conversion.php ( 6.44 KB )
  65. /yingpanguazai/ssd/ssd1/www/f.mffb.com.cn/vendor/topthink/think-orm/src/model/concern/DbConnect.php ( 5.16 KB )
  66. /yingpanguazai/ssd/ssd1/www/f.mffb.com.cn/vendor/topthink/think-orm/src/model/concern/ModelEvent.php ( 2.33 KB )
  67. /yingpanguazai/ssd/ssd1/www/f.mffb.com.cn/vendor/topthink/think-orm/src/model/concern/RelationShip.php ( 28.29 KB )
  68. /yingpanguazai/ssd/ssd1/www/f.mffb.com.cn/vendor/topthink/think-helper/src/contract/Arrayable.php ( 0.09 KB )
  69. /yingpanguazai/ssd/ssd1/www/f.mffb.com.cn/vendor/topthink/think-helper/src/contract/Jsonable.php ( 0.13 KB )
  70. /yingpanguazai/ssd/ssd1/www/f.mffb.com.cn/vendor/topthink/think-orm/src/model/contract/Modelable.php ( 0.09 KB )
  71. /yingpanguazai/ssd/ssd1/www/f.mffb.com.cn/vendor/topthink/framework/src/think/Db.php ( 2.88 KB )
  72. /yingpanguazai/ssd/ssd1/www/f.mffb.com.cn/vendor/topthink/think-orm/src/DbManager.php ( 8.52 KB )
  73. /yingpanguazai/ssd/ssd1/www/f.mffb.com.cn/vendor/topthink/framework/src/think/Log.php ( 6.28 KB )
  74. /yingpanguazai/ssd/ssd1/www/f.mffb.com.cn/vendor/topthink/framework/src/think/Manager.php ( 3.92 KB )
  75. /yingpanguazai/ssd/ssd1/www/f.mffb.com.cn/vendor/psr/log/src/LoggerTrait.php ( 2.69 KB )
  76. /yingpanguazai/ssd/ssd1/www/f.mffb.com.cn/vendor/psr/log/src/LoggerInterface.php ( 2.71 KB )
  77. /yingpanguazai/ssd/ssd1/www/f.mffb.com.cn/vendor/topthink/framework/src/think/Cache.php ( 4.92 KB )
  78. /yingpanguazai/ssd/ssd1/www/f.mffb.com.cn/vendor/psr/simple-cache/src/CacheInterface.php ( 4.71 KB )
  79. /yingpanguazai/ssd/ssd1/www/f.mffb.com.cn/vendor/topthink/think-helper/src/helper/Arr.php ( 16.63 KB )
  80. /yingpanguazai/ssd/ssd1/www/f.mffb.com.cn/vendor/topthink/framework/src/think/cache/driver/File.php ( 7.84 KB )
  81. /yingpanguazai/ssd/ssd1/www/f.mffb.com.cn/vendor/topthink/framework/src/think/cache/Driver.php ( 9.03 KB )
  82. /yingpanguazai/ssd/ssd1/www/f.mffb.com.cn/vendor/topthink/framework/src/think/contract/CacheHandlerInterface.php ( 1.99 KB )
  83. /yingpanguazai/ssd/ssd1/www/f.mffb.com.cn/app/Request.php ( 0.09 KB )
  84. /yingpanguazai/ssd/ssd1/www/f.mffb.com.cn/vendor/topthink/framework/src/think/Request.php ( 55.78 KB )
  85. /yingpanguazai/ssd/ssd1/www/f.mffb.com.cn/app/middleware.php ( 0.25 KB )
  86. /yingpanguazai/ssd/ssd1/www/f.mffb.com.cn/vendor/topthink/framework/src/think/Pipeline.php ( 2.61 KB )
  87. /yingpanguazai/ssd/ssd1/www/f.mffb.com.cn/vendor/topthink/think-trace/src/TraceDebug.php ( 3.40 KB )
  88. /yingpanguazai/ssd/ssd1/www/f.mffb.com.cn/vendor/topthink/framework/src/think/middleware/SessionInit.php ( 1.94 KB )
  89. /yingpanguazai/ssd/ssd1/www/f.mffb.com.cn/vendor/topthink/framework/src/think/Session.php ( 1.80 KB )
  90. /yingpanguazai/ssd/ssd1/www/f.mffb.com.cn/vendor/topthink/framework/src/think/session/driver/File.php ( 6.27 KB )
  91. /yingpanguazai/ssd/ssd1/www/f.mffb.com.cn/vendor/topthink/framework/src/think/contract/SessionHandlerInterface.php ( 0.87 KB )
  92. /yingpanguazai/ssd/ssd1/www/f.mffb.com.cn/vendor/topthink/framework/src/think/session/Store.php ( 7.12 KB )
  93. /yingpanguazai/ssd/ssd1/www/f.mffb.com.cn/vendor/topthink/framework/src/think/Route.php ( 23.73 KB )
  94. /yingpanguazai/ssd/ssd1/www/f.mffb.com.cn/vendor/topthink/framework/src/think/route/RuleName.php ( 5.75 KB )
  95. /yingpanguazai/ssd/ssd1/www/f.mffb.com.cn/vendor/topthink/framework/src/think/route/Domain.php ( 2.53 KB )
  96. /yingpanguazai/ssd/ssd1/www/f.mffb.com.cn/vendor/topthink/framework/src/think/route/RuleGroup.php ( 22.43 KB )
  97. /yingpanguazai/ssd/ssd1/www/f.mffb.com.cn/vendor/topthink/framework/src/think/route/Rule.php ( 26.95 KB )
  98. /yingpanguazai/ssd/ssd1/www/f.mffb.com.cn/vendor/topthink/framework/src/think/route/RuleItem.php ( 9.78 KB )
  99. /yingpanguazai/ssd/ssd1/www/f.mffb.com.cn/route/app.php ( 1.72 KB )
  100. /yingpanguazai/ssd/ssd1/www/f.mffb.com.cn/vendor/topthink/framework/src/think/facade/Route.php ( 4.70 KB )
  101. /yingpanguazai/ssd/ssd1/www/f.mffb.com.cn/vendor/topthink/framework/src/think/route/dispatch/Controller.php ( 4.74 KB )
  102. /yingpanguazai/ssd/ssd1/www/f.mffb.com.cn/vendor/topthink/framework/src/think/route/Dispatch.php ( 10.44 KB )
  103. /yingpanguazai/ssd/ssd1/www/f.mffb.com.cn/app/controller/Index.php ( 4.81 KB )
  104. /yingpanguazai/ssd/ssd1/www/f.mffb.com.cn/app/BaseController.php ( 2.05 KB )
  105. /yingpanguazai/ssd/ssd1/www/f.mffb.com.cn/vendor/topthink/think-orm/src/facade/Db.php ( 0.93 KB )
  106. /yingpanguazai/ssd/ssd1/www/f.mffb.com.cn/vendor/topthink/think-orm/src/db/connector/Mysql.php ( 5.44 KB )
  107. /yingpanguazai/ssd/ssd1/www/f.mffb.com.cn/vendor/topthink/think-orm/src/db/PDOConnection.php ( 52.47 KB )
  108. /yingpanguazai/ssd/ssd1/www/f.mffb.com.cn/vendor/topthink/think-orm/src/db/Connection.php ( 8.39 KB )
  109. /yingpanguazai/ssd/ssd1/www/f.mffb.com.cn/vendor/topthink/think-orm/src/db/ConnectionInterface.php ( 4.57 KB )
  110. /yingpanguazai/ssd/ssd1/www/f.mffb.com.cn/vendor/topthink/think-orm/src/db/builder/Mysql.php ( 16.58 KB )
  111. /yingpanguazai/ssd/ssd1/www/f.mffb.com.cn/vendor/topthink/think-orm/src/db/Builder.php ( 24.06 KB )
  112. /yingpanguazai/ssd/ssd1/www/f.mffb.com.cn/vendor/topthink/think-orm/src/db/BaseBuilder.php ( 27.50 KB )
  113. /yingpanguazai/ssd/ssd1/www/f.mffb.com.cn/vendor/topthink/think-orm/src/db/Query.php ( 15.71 KB )
  114. /yingpanguazai/ssd/ssd1/www/f.mffb.com.cn/vendor/topthink/think-orm/src/db/BaseQuery.php ( 45.13 KB )
  115. /yingpanguazai/ssd/ssd1/www/f.mffb.com.cn/vendor/topthink/think-orm/src/db/concern/TimeFieldQuery.php ( 7.43 KB )
  116. /yingpanguazai/ssd/ssd1/www/f.mffb.com.cn/vendor/topthink/think-orm/src/db/concern/AggregateQuery.php ( 3.26 KB )
  117. /yingpanguazai/ssd/ssd1/www/f.mffb.com.cn/vendor/topthink/think-orm/src/db/concern/ModelRelationQuery.php ( 20.07 KB )
  118. /yingpanguazai/ssd/ssd1/www/f.mffb.com.cn/vendor/topthink/think-orm/src/db/concern/ParamsBind.php ( 3.66 KB )
  119. /yingpanguazai/ssd/ssd1/www/f.mffb.com.cn/vendor/topthink/think-orm/src/db/concern/ResultOperation.php ( 7.01 KB )
  120. /yingpanguazai/ssd/ssd1/www/f.mffb.com.cn/vendor/topthink/think-orm/src/db/concern/WhereQuery.php ( 19.37 KB )
  121. /yingpanguazai/ssd/ssd1/www/f.mffb.com.cn/vendor/topthink/think-orm/src/db/concern/JoinAndViewQuery.php ( 7.11 KB )
  122. /yingpanguazai/ssd/ssd1/www/f.mffb.com.cn/vendor/topthink/think-orm/src/db/concern/TableFieldInfo.php ( 2.63 KB )
  123. /yingpanguazai/ssd/ssd1/www/f.mffb.com.cn/vendor/topthink/think-orm/src/db/concern/Transaction.php ( 2.77 KB )
  124. /yingpanguazai/ssd/ssd1/www/f.mffb.com.cn/vendor/topthink/framework/src/think/log/driver/File.php ( 5.96 KB )
  125. /yingpanguazai/ssd/ssd1/www/f.mffb.com.cn/vendor/topthink/framework/src/think/contract/LogHandlerInterface.php ( 0.86 KB )
  126. /yingpanguazai/ssd/ssd1/www/f.mffb.com.cn/vendor/topthink/framework/src/think/log/Channel.php ( 3.89 KB )
  127. /yingpanguazai/ssd/ssd1/www/f.mffb.com.cn/vendor/topthink/framework/src/think/event/LogRecord.php ( 1.02 KB )
  128. /yingpanguazai/ssd/ssd1/www/f.mffb.com.cn/vendor/topthink/think-helper/src/Collection.php ( 16.47 KB )
  129. /yingpanguazai/ssd/ssd1/www/f.mffb.com.cn/vendor/topthink/framework/src/think/facade/View.php ( 1.70 KB )
  130. /yingpanguazai/ssd/ssd1/www/f.mffb.com.cn/vendor/topthink/framework/src/think/View.php ( 4.39 KB )
  131. /yingpanguazai/ssd/ssd1/www/f.mffb.com.cn/vendor/topthink/framework/src/think/Response.php ( 8.81 KB )
  132. /yingpanguazai/ssd/ssd1/www/f.mffb.com.cn/vendor/topthink/framework/src/think/response/View.php ( 3.29 KB )
  133. /yingpanguazai/ssd/ssd1/www/f.mffb.com.cn/vendor/topthink/framework/src/think/Cookie.php ( 6.06 KB )
  134. /yingpanguazai/ssd/ssd1/www/f.mffb.com.cn/vendor/topthink/think-view/src/Think.php ( 8.38 KB )
  135. /yingpanguazai/ssd/ssd1/www/f.mffb.com.cn/vendor/topthink/framework/src/think/contract/TemplateHandlerInterface.php ( 1.60 KB )
  136. /yingpanguazai/ssd/ssd1/www/f.mffb.com.cn/vendor/topthink/think-template/src/Template.php ( 46.61 KB )
  137. /yingpanguazai/ssd/ssd1/www/f.mffb.com.cn/vendor/topthink/think-template/src/template/driver/File.php ( 2.41 KB )
  138. /yingpanguazai/ssd/ssd1/www/f.mffb.com.cn/vendor/topthink/think-template/src/template/contract/DriverInterface.php ( 0.86 KB )
  139. /yingpanguazai/ssd/ssd1/www/f.mffb.com.cn/runtime/temp/067d451b9a0c665040f3f1bdd3293d68.php ( 11.98 KB )
  140. /yingpanguazai/ssd/ssd1/www/f.mffb.com.cn/vendor/topthink/think-trace/src/Html.php ( 4.42 KB )
  1. CONNECT:[ UseTime:0.001186s ] mysql:host=127.0.0.1;port=3306;dbname=f_mffb;charset=utf8mb4
  2. SHOW FULL COLUMNS FROM `fenlei` [ RunTime:0.001895s ]
  3. SELECT * FROM `fenlei` WHERE `fid` = 0 [ RunTime:0.000651s ]
  4. SELECT * FROM `fenlei` WHERE `fid` = 63 [ RunTime:0.000619s ]
  5. SHOW FULL COLUMNS FROM `set` [ RunTime:0.001428s ]
  6. SELECT * FROM `set` [ RunTime:0.000564s ]
  7. SHOW FULL COLUMNS FROM `article` [ RunTime:0.001271s ]
  8. SELECT * FROM `article` WHERE `id` = 466618 LIMIT 1 [ RunTime:0.000962s ]
  9. UPDATE `article` SET `lasttime` = 1774776255 WHERE `id` = 466618 [ RunTime:0.004803s ]
  10. SELECT * FROM `fenlei` WHERE `id` = 65 LIMIT 1 [ RunTime:0.002545s ]
  11. SELECT * FROM `article` WHERE `id` < 466618 ORDER BY `id` DESC LIMIT 1 [ RunTime:0.001035s ]
  12. SELECT * FROM `article` WHERE `id` > 466618 ORDER BY `id` ASC LIMIT 1 [ RunTime:0.002622s ]
  13. SELECT * FROM `article` WHERE `id` < 466618 ORDER BY `id` DESC LIMIT 10 [ RunTime:0.006520s ]
  14. SELECT * FROM `article` WHERE `id` < 466618 ORDER BY `id` DESC LIMIT 10,10 [ RunTime:0.001304s ]
  15. SELECT * FROM `article` WHERE `id` < 466618 ORDER BY `id` DESC LIMIT 20,10 [ RunTime:0.007561s ]
0.194973s