紧接上一期,上一期我们实现了2DGS到3DGS多焦点的单次产生,本期将围绕全息领域,探索实现3DGS全息。在现代计算光学与全息显示领域,核心的研究范式往往围绕着一个经典的“光学逆问题”展开:如何将空间中任意给定的目标光强分布(2D 图像或 3D 光场),精确逆向求解为加载于纯相位空间光调制器(Phase-only SLM)上的二维相位调制矩阵。
随着 LCoS 等微显示器件像素密度的提升,计算全息(Computational Generated Holography, CGH)正从纯算法研究走向工程落地。然而,在实际的光场调控中,研究人员始终需要面对重建保真度、散斑噪声(Speckle Noise)、空间带宽积(SBP)限制以及计算复杂度之间的极限博弈。
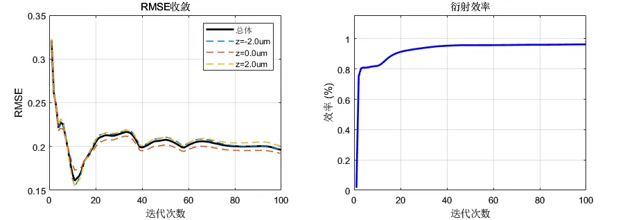
早期的全息图计算通常基于经典的 Gerchberg-Saxton (GS) 相位恢复算法。借助快速傅里叶变换(FFT),GS 算法能在全息面与单一焦平面之间实现快速迭代,完成二维图像的高衍射效率重建。但在面对真正的三维显示需求时,基于单一平面的二维傅里叶变换便显得捉襟见肘,层间串扰与离焦散斑严重制约了成像质量。
为了打破维度的限制,CGH 算法的演进逐渐从“二维切片逼近”转向了“真三维波前重构”。例如,利用无近轴近似的角谱传播理论(Angular Spectrum Method)结合点云球面波叠加法,我们能够精确合成包含复杂深度信息的连续波前;进一步结合空间复用(Spatial Multiplexing)或时分复用技术,即可在 RGB 多波长下实现高色彩还原度的三维立体全息。
更为前沿的是,在下一代 AR/VR 显示架构中,全息技术被视为解决辐辏调节冲突(Vergence-Accommodation Conflict, VAC)的终极物理方案。这就要求我们的 CGH 算法必须引入更为复杂的人眼视觉模型——不仅要约束焦平面(视网膜)的振幅分布,还需结合瞳孔掩模(Pupil Mask)与双相位振幅编码(DPAC),在有限的眼盒(Eyebox)内重构出具备真实光学景深(Depth of Field)的 3D 光场。
一、本期整体算法流程图

二、Python&Matlab仿真结果