一、基本概念
1.1 什么是特征点?
特征点是图像中具有独特性、可重复性、稳定性的点,如角点、边缘点、斑点等。
1.2 特征描述符(Feature Descriptor)
对特征点周围区域进行描述的数字向量,用于特征匹配,相当于特征点的身份证。
1.3 常用方法
- 2. SIFT(尺度不变特征变换) 尺度、旋转不变性
- 3. SURF(加速稳健特征) SIFT的快速版本
- 4. ORB(Oriented FAST and Rotated BRIEF) FAST关键点+BRIEF描述符
二、特征点检测算法原理
2.1 Harris角点检测
核心思想
Harris角点检测基于局部窗口内的灰度变化来检测角点。角点的定义是:在所有方向上灰度变化都很大的点。
算法步骤
- 6. 阈值处理:保留R > threshold的点
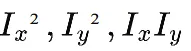
import cv2import numpy as npimport matplotlib.pyplot as pltdef harris_corner_detection(img_path, blockSize=2, ksize=3, k=0.04):""" Harris角点检测原理: 1. 计算图像梯度Ix, Iy 2. 构建结构张量 M = ∑[Ix² IxIy] [IxIy Iy²] 3. 计算响应函数 R = det(M) - k*trace(M)² 4. R > threshold 的点为角点 """ img = cv2.imread(img_path, 0)# 1. 计算梯度 Ix = cv2.Sobel(img, cv2.CV_64F, 1, 0, ksize=ksize) Iy = cv2.Sobel(img, cv2.CV_64F, 0, 1, ksize=ksize)# 2. 计算结构张量的元素 Ix2 = Ix**2 Iy2 = Iy**2 Ixy = Ix * Iy# 3. 高斯加权 Sx2 = cv2.GaussianBlur(Ix2, (blockSize, blockSize), 0) Sy2 = cv2.GaussianBlur(Iy2, (blockSize, blockSize), 0) Sxy = cv2.GaussianBlur(Ixy, (blockSize, blockSize), 0)# 4. 计算响应函数 detM = Sx2 * Sy2 - Sxy**2 traceM = Sx2 + Sy2 R = detM - k * traceM**2# 5. 非极大值抑制 R = cv2.dilate(R, None) threshold = 0.01 * R.max() corners = np.where(R > threshold)return corners, R, img# 使用示例corners, R, img = harris_corner_detection('test.jpg')plt.figure(figsize=(12, 4))plt.subplot(131), plt.imshow(img, cmap='gray'), plt.title('Original')plt.subplot(132), plt.imshow(R, cmap='hot'), plt.title('Harris Response')plt.subplot(133), plt.imshow(img, cmap='gray')plt.scatter(corners[1], corners[0], c='r', s=10, alpha=0.5)plt.title('Detected Corners')plt.tight_layout()plt.show()
2.2 SIFT(尺度不变特征变换)
SIFT旨在解决尺度、旋转、光照、视角变化下的特征匹配问题。
尺度空间极值检测
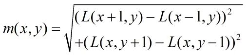
1. 高斯尺度空间构建图像 的尺度空间定义为:其中高斯核:
2. 高斯金字塔构建
每个octave(组)的处理:
- 2. 每层通过)模糊,其中S为每octave层数。
- 3. 下一个octave由上一个octave进行降采样得到(尺寸减半)。
3. DoG(Difference of Gaussian)金字塔
4. 极值检测在3×3×3的邻域(空间+尺度)中寻找局部极值:
关键点精确定位
1. DoG函数泰勒展开
2. 极值点精确定位求解导数为零的位置:
3. 去除不稳定点
- • 边缘响应点:使用Hessian矩阵特征值比值判断。
对于Hessian矩阵:
设特征值 :
若 ,判定为边缘点并剔除。
方向分配
1. 计算梯度幅值和方向在关键点所在尺度的高斯模糊图像上:

2. 创建方向直方图
3. 分配主方向
关键点描述符生成
1. 坐标旋转将坐标轴旋转到关键点方向,确保旋转不变性。
2. 区域划分
3. 计算子区域梯度直方图
4. 描述符归一化
- • 截断大于0.2的值,重新归一化(增强对非线性光照的鲁棒性)。
def sift_feature_matching(img1_gray, img2_gray, img1_rgb, img2_rgb, n_features=500, use_flann=True, ransac_thresh=5.0): """
SIFT特征检测与匹配
"""
# 初始化SIFT检测器
sift = cv2.SIFT_create(nfeatures=n_features)
# 检测关键点和计算描述符
kp1, des1 = sift.detectAndCompute(img1_gray, None)
kp2, des2 = sift.detectAndCompute(img2_gray, None)
print(f"图像1检测到 {len(kp1)} 个关键点")
print(f"图像2检测到 {len(kp2)} 个关键点")
# 特征匹配
if use_flann:
# FLANN匹配器
FLANN_INDEX_KDTREE = 1
index_params = dict(algorithm=FLANN_INDEX_KDTREE, trees=5)
search_params = dict(checks=50)
flann = cv2.FlannBasedMatcher(index_params, search_params)
matches = flann.knnMatch(des1, des2, k=2)
else:
# 暴力匹配器
bf = cv2.BFMatcher(cv2.NORM_L2, crossCheck=False)
matches = bf.knnMatch(des1, des2, k=2)
# 应用Lowe's比率测试筛选好的匹配
good_matches = []
for m, n in matches:
if m.distance < 0.7 * n.distance:
good_matches.append(m)
print(f"筛选后得到 {len(good_matches)} 个匹配对")
# 使用RANSAC去除误匹配
if len(good_matches) > 4:
src_pts = np.float32([kp1[m.queryIdx].pt for m in good_matches]).reshape(-1, 1, 2)
dst_pts = np.float32([kp2[m.trainIdx].pt for m in good_matches]).reshape(-1, 1, 2)
# 计算单应性矩阵
M, mask = cv2.findHomography(src_pts, dst_pts, cv2.RANSAC, ransac_thresh)
mask = mask.ravel().tolist()
# 筛选RANSAC内点
inlier_matches = [good_matches[i] for i in range(len(good_matches)) if mask[i]]
print(f"RANSAC后得到 {len(inlier_matches)} 个内点匹配")
else:
inlier_matches = good_matches
print("匹配点太少,跳过RANSAC")
return kp1, kp2, des1, des2, good_matches, inlier_matches
2.3 SURF(加速稳健特征)SIFT的快速版本
积分图像加速
积分图像:
任意矩形区域求和:
其中:
盒子滤波器近似Hessian矩阵
近似二阶高斯导数:
Hessian行列式:
尺度空间构建
算法步骤
1. 特征点检测
2. 方向分配
3. 描述符生成
- 3. 得到4×4×4=64维描述符(扩展版本为128维)。
defsurf_detection_opencv(image, hessian_threshold=100, extended=False, upright=False):""" 使用OpenCV实现SURF特征检测 参数: image: 输入图像 hessian_threshold: Hessian阈值 extended: 是否使用扩展描述符(128维) upright: 是否不使用方向不变性 """# OpenCV<4.5 surf = cv2.xfeatures2d.SURF_create( hessianThreshold=hessian_threshold, nOctaves=4, nOctaveLayers=3, extended=extended, upright=upright)# 检测关键点和计算描述符 keypoints, descriptors = surf.detectAndCompute(image, None)return keypoints, descriptors
2.4 ORB(Oriented FAST and Rotated BRIEF)
FAST检测原理:
- 1. 以像素 为中心,半径为3的Bresenham圆(16个像素)。
方向分配:
计算质心:质心:方向:
rBRIEF(Rotated BRIEF)
旋转不变性改进:
算法流程
- 3. rBRIEF描述:生成旋转不变的二进制描述符。
classORBFeatureDetector:""" ORB算法特点: 1. FAST角点检测 2. 计算方向(灰度质心法) 3. rBRIEF描述符 """def __init__(self, n_features=500, scale_factor=1.2, n_levels=8):self.n_features = n_featuresself.scale_factor = scale_factorself.n_levels = n_levelsdef detect_and_compute(self, img): orb = cv2.ORB_create( nfeatures=self.n_features, scaleFactor=self.scale_factor, nlevels=self.n_levels ) keypoints, descriptors = orb.detectAndCompute(img, None)return keypoints, descriptors
三、特征匹配算法
3.1 暴力匹配(Brute-Force)
暴力匹配是最直接的特征匹配方法,通过穷举搜索找到最佳匹配。
匹配过程
距离度量
对于两个特征描述符向量 和 :
1. 欧氏距离(L2距离):适用于:SIFT、SURF(浮点型描述符)
2. 汉明距离:适用于:ORB、BRIEF(二进制描述符)
3. 曼哈顿距离(L1距离):
匹配策略
1. 最近邻匹配:
2. 最近邻距离比(NNDR):
3. 数学原理:设查询特征,目标特征集
算法步骤
- 1. 对每个查询特征描述符:a. 计算与所有目标描述符的距离。b. 找到最近邻和次近邻。c. 如果使用NNDR:计算比值并判断。d. 记录匹配对。
classFeatureMatcher:def __init__(self, method='BF', norm_type=cv2.NORM_L2):self.method = methodself.norm_type = norm_typedef brute_force_match(self, desc1, desc2, ratio_test=0.75):""" 暴力匹配原理: 1. 计算desc1中每个描述符与desc2中所有描述符的距离 2. 选择距离最近的两个匹配 3. 应用比率测试:d1/d2 < ratio_test """if desc1 isNoneor desc2 isNone:return []if self.norm_type == cv2.NORM_HAMMING:# 用于二进制描述符(ORB, BRIEF等) matcher = cv2.BFMatcher(cv2.NORM_HAMMING, crossCheck=False)else:# 用于浮点描述符(SIFT, SURF等) matcher = cv2.BFMatcher(cv2.NORM_L2, crossCheck=False)# 执行knn匹配(k=2) matches = matcher.knnMatch(desc1, desc2, k=2)# 应用比率测试 good_matches = []for m, n in matches:if m.distance < ratio_test * n.distance: good_matches.append(m)return good_matches
3.2 FLANN(快速最近邻搜索)
FLANN通过近似最近邻搜索加速匹配过程,牺牲少量精度换取速度的大幅提升。
主要算法
KD-Tree(k维树)
1. 构建过程:
算法:BuildKDTree(points, depth)。输入:点集points,当前深度depth输出:KD-Tree根节点
- 2. 选择划分维度:axis = depth mod k
- 5. 递归构建左子树(points[:median])
- 6. 递归构建右子树(points[median+1:])
2. 搜索过程:
算法:SearchKDTree(node, query, best)输入:当前节点node,查询点query,当前最佳best输出:最近邻点
- 2. 计算node与query的距离,更新best
3. 多重KD-Tree:
- • 构建多个不同的KD-Tree(随机选择划分维度)
K-Means树
1. 构建过程:
- 2. 重复直到达到深度限制:a. 对每个簇,使用K-Means聚类为K个子簇(通常K=16)b. 将簇中心作为树的节点c. 将点分配到最近的子簇
2. 搜索过程:
3 层次聚类树(Hierarchical K-Means)
结合KD-Tree和K-Means的优点:
近似最近邻搜索原理
ε-近似最近邻:设真实最近邻距离为 ,算法找到的距离为 满足:
概率近似最近邻:以概率 找到最近邻
defflann_match(self, desc1, desc2, ratio_test=0.7):""" FLANN匹配原理: 使用kd-tree等数据结构加速最近邻搜索 """if desc1.dtype == np.uint8: 二进制描述符 index_params = dict(algorithm=6, # FLANN_INDEX_LSH table_number=6, key_size=12, multi_probe_level=1)else:# 浮点描述符 index_params = dict(algorithm=1, tree=5) search_params = dict(checks=50) flann = cv2.FlannBasedMatcher(index_params, search_params) matches = flann.knnMatch(desc1, desc2, k=2) good_matches = []for m, n in matches:if m.distance < ratio_test * n.distance: good_matches.append(m)return good_matches
3. RANSAC(随机抽样一致性)
RANSAC通过随机采样和一致性验证来估计模型参数,有效处理异常值(误匹配)。
基本概念
- • 最小样本集(MSS):估计模型所需的最小数据点数
算法流程
输入:data - 数据点集(包含异常值)model - 待估计的数学模型n - 最小样本集大小k - 最大迭代次数t - 内点阈值d - 内点数阈值
输出:best_model - 最佳模型参数best_consensus_set - 最佳内点集
算法步骤:
- 2. best_consensus_set = ∅
- 4. 重复k次:a. 随机选择n个点作为最小样本集b. 根据最小样本集估计模型参数model_ic. 对每个数据点:
- • 如果error < t:标记为内点d. 统计内点数量inlier_counte. 如果inlier_count > d:
- • 如果新模型更好:更新最佳模型f. 如果inlier_count > best_inlier_count:
- 5. 返回best_model, best_consensus_set
迭代次数计算
迭代次数 的选择基于概率:
其中:
四. 算法比较总结
特征点检测算法总结
特征匹配算法总结
| | | |
| 匹配精度 | | | |
| 计算速度 | | | |
| 异常值处理 | | | |
| 适用规模 | | | |
| 参数复杂度 | | | |
| 主要用途 | | | |
实际应用建议
每种方法都有其适用场景,需要根据具体应用需求、计算资源和精度要求进行选择。实际应用中常采用多种方法组合,如使用FLANN进行快速初匹配,再用RANSAC进行误匹配剔除。