1.SIR模型概念和术语
SIR模型将人群分为三类:
S(t):易感者(Susceptible),未感染但可能被传染的个体数量。
I(t):感染者(Infectious),已感染并可传播疾病的个体数量。
R(t):康复者(移除态)(Recovered),康复后不再参与传播的个体数量。
感染率:β表示假设一个易感者在单位时间里与感染者接触并被传染的概率。
康复率(移除率):γ表示一个感染者单位时间转化为康复(移除)状态的概率。
2.SIR模型原理与假设
a.总人数不变:N=S(t)+I(t)+R(t),忽略出生、死亡、迁移。
b.流行病传播过程:易感者—>感染者—>康复者。
c.易感者群体减少的数量=感染者群体增加的数量。
d.康复者群体增加的数量=感染者群体减少的数量。
e.感染者群体变化的数量=易感者+康复者变化之和。
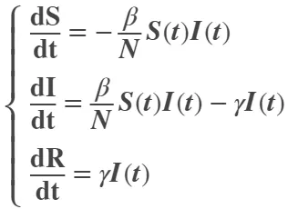
3.SIR模型
SIR模型的微分方程组形式:

该模型包含三个变量S,I,R,三个参数N,β,γ。
4.SIR模型的应用方法
(1)预测趋势:根据实际问题运用统计学方法或者其他方法,估算或者假设参数N,β,γ,然后求解S,I,R,预测易感者、感染者和感染者随着时间t的变化趋势,用于指导制定相应的政策措施。
(2)参数辨识:已经收集易感者S、感染者I和感染者R随着时间t的变化的大量数据,对模型进行参数辨识,识别三个参数N(可选),β,γ,分析感染率和康复率的水平。
(3)常用:参数辨识—>预测趋势。
5.预测趋势(编程示例)
假设总人数:N = 1000 ,感染率β= 0.3,康复率γ=0.1。
建立SIR模型,给出流行病传播动态模拟变化预测趋势图。
Matlab程序代码如下:
tspan = [0 100];
Y0=[999;1;0];
[t, Y] = ode45(@sirmoxing, tspan, Y0);
plot(t, Y(:,1), 'b', t, Y(:,2), 'r', t, Y(:,3), 'g', 'LineWidth', 2);
xlabel('时间(天)');
ylabel('人数');
legend('易感者 S(t)', '感染者 I(t)', '康复者 R(t)');
title('SIR模型动态模拟');
grid on;
function dYdt = sirmoxing (t, Y)
N = 1000;% 总人口
beta = 0.3;% 感染率
gamma = 0.1;% 康复率
S = Y(1);
I = Y(2);
R = Y(3);
dSdt = -beta * S * I / N;
dIdt = beta * S * I / N - gamma * I;
dRdt = gamma * I;
dYdt = [dSdt; dIdt; dRdt];
end
运行结果如下:

6.结合实际问题进行分析预测
以新冠疫情为例,易感者呈下降趋势,康复者呈上升趋势,感染者先增多后减少,与实际问题的发展变化规律相符。
另外,可以提取感染者群体中最大值所在的时间点,也就是拐点的位置,感染者群体经拐点后呈下降态势,有利于对防控政策的调整和实施起到指导建议作用。大家可根据自己研究的问题做具体深入的分析。
【参考视频14.12,B站搜freexyn有视频】
相关推荐
Matlab扫盲小短篇 86 程序+绘图|数值解法求解微分方程组
End