本文摘要
本文将带领读者一起进行完整的信用评分卡建模全流程,了解银行风控是如何建立模型的。本文讲述评分卡的分类,个人信用评级模型和企业信用评级模型。接下来,描述评分卡的建模开发流程。最后,结合部分代码和精美可视化图片,让用户有更深了解。
一.信用风险credit risk定义
信贷风险是指借款人因偿还贷款或履行合同承诺而破产而产生损失的可能性。传统上,它与贷款人无法偿还所欠利息和本金、影响现金流和增加装配成本所产生的风险有关。很难准确预测谁会违约。尽管如此,适当的评估和风险管理可以通过减少损失的严重程度,帮助您显著降低此类信贷风险。
个人信用风险
当任何贷款人发放贷款(如抵押贷款、信用卡或其他类似贷款)时,存在借款人可能无法偿还贷款金额的可避免风险。此外,如果一家公司向客户提供此类信贷,客户也会面临同样的风险,即客户不会偿还。它还包括其他相关风险,例如债券发行人在到期时可能无法付款,以及保险公司无力赔偿索赔而产生的风险。盈利市场中较高水平的信贷风险将与较高的借贷成本相关。因此,如何用人工智能,机器学习模型对信用风险进行评估,将风险降到最低程度是金融机构关注焦点。
企业信用风险
和所有金融信贷业务一样,信用风险credit risk也是企业贷款面临的最主要风险,特别是中小微企业。随着微小企业信贷业务的迅速发展,客户群体的不断扩大,诸多大型企业(恒大,融创,st上市公司)暴雷,银行在大数据面前对于客户个人信用水平的把握变得越来越困难.如何科学,快速地识别个人客户和企业客户信用风险,成为微小贷款业务持续,健康发展的重要前提。
信用风险计量模型可以包括跟个人信用评级,企业信用评级和国家信用评级。人信用评级有一系列评级模型组成,常见是A卡(申请评分卡)、B卡(行为模型)、C卡(催收模型)和F卡(反欺诈模型)。 今天我们展示的是个人信用评级模型的开发过程,数据采用kaggle上知名的give me some credit数据集。
give me some credit数据集采用的是国外银行真实个人信贷数据,用于评估个人信贷逾期风险。give me some credit数据集变量不多,只有十余个,但每个变量都很精髓,值得我们深入研究。
二.评分卡分类
1.1 A card释义:Application scorecard 申请评分卡,对授信阶段提交的资料赋值的规则。举例:“进件”是传统银行的说法,指申请单。评分卡是对一系列用户信息的综合判断。随着可以收集到的用户信息变多,授信决策者不再满足于简单的if、else逻辑,而是希望对各个资料赋予权重和分值,根据用户最后综合得分判断风险,通过划定分数线调整风险容忍度,评分卡应运而生。评分卡是逻辑回归算法的一种衍生。1.2 B card释义:Behavior scorecard 行为评分卡,对贷后可以收集到的用户信息进行评分的规则。举例:与 A 卡类似,B卡也是一套评分规则,在贷款发放后,通过收集用户拿到钱后的行为数据,推测用户是否会逾期,是否可以继续给该用户借款。例如用户在某银行贷款后,又去其他多家银行申请了贷款,那可以认为此人资金短缺,可能还不上钱,如果再申请银行贷款,就要慎重放款。B卡模型中,有很多存量管理的子模型,包括激活沉默客户模型,找出价值较高客户,增加贷款额度模型等等。1.3 C card释义:Collection Scorecard 催收评分卡,对已逾期用户未来出催能力做判断的评分规则。举例:催收评分卡是行为评分卡的衍生应用,其作用是预判对逾期用户的催收力度。对于信誉较好的用户,不催收或轻量催收即可回款。对于有长时间逾期倾向的用户,需要从逾期开始就重点催收。逾期天数越多,催收难度越大。
催收一般分为多个坐席,M1,M2,M3等不同坐席员工经验和业务能力相差甚大。AI人工智能常用于前期自动化催收。
申请评分卡、行为评分卡和催收评分卡常合并称为“ABC卡”,应用在贷前、贷中和贷后管理。
风控模型不仅只有A,B,C卡还有其他类模型,大类模型中有多个细分模型。
1.4 F card(容易被初学者忽略)
释义:anti-fraud反欺诈模型,反欺诈技术可用于风控多个环节,包括信审环节,贷中环节,贷后环节。国内信贷黑产和灰产是一个庞大产业链,反欺诈模型可以很好筛选这些骗贷用户。为了应对国际反洗钱机构,国内银行和持牌照金融机构的反洗钱有硬指标,反欺诈模型也发挥着重要作用。
评分卡一览
评分卡是一种用于信用评估的工具,主要用于银行和其他金融机构对借款人进行信用评级。
三.评分卡优缺点
评分卡的优缺点如下:
优点:
客观性:评分卡是基于客观数据和统计模型构建的,能够减少主观因素的影响,提高信用评估的客观性和准确性。
标准化:评分卡的建立和使用过程是标准化的,可以确保评级标准的一致性和稳定性,减少人为因素带来的不确定性。
高效性:评分卡可以快速对借款人进行评级,提高信用审核的效率,减少人力成本和时间成本。
预测性:评分卡基于历史数据和统计模型构建,可以较准确地预测借款人未来的信用表现,帮助金融机构更好地管理风险。
维护方便:评分卡模型一般10-20个变量即可很好拟合模型。但神经网络,集成树算法可达到成千上万个变量。在模型上线后,评分卡模型因变量少,容易维护。
缺点:
数据依赖:评分卡建立需要大量的历史数据支持,对数据的质量和完整性要求较高,如果数据不足或不准确,评分卡的准确性会受到影响。当然所有模型都会存在这个问题,这并不针对评分卡模型。
静态性:评分卡在建立时基于历史数据和模型,无法动态调整,可能无法及时反映市场和经济环境的变化。当然所有模型都会存在这个问题,这并不针对评分卡模型。模型上线后要每日监控,如果模型ks,auc,psi变化太大,需要重新迭代模型。CRO也需要结合业务经验来决策,不能仅依靠模型工具。
局限性:评分卡只能考虑已知的变量和因素,无法完全覆盖所有可能影响信用表现的因素,可能会忽略一些重要的信息。当然所有模型都会存在这个问题,这并不针对评分卡模型。
模型风险:评分卡建立的模型可能存在过拟合或欠拟合等风险,导致评级结果不准确,需要定期监测和调整模型。这个主要针对新手,经验丰富模型开发人员一般用10-20个变量即可很好拟合模型。建模工程师需要对算法和统计学底层原理深入了解,不能只调用代码建模。
综合来看,评分卡作为一种信用评估工具,在提高客观性、标准化和效率方面有明显优势,但在数据依赖性、静态性和模型风险等方面存在一定的局限性,需要在实际应用中综合考虑其优缺点,结合其他评估方法进行综合分析。
四、建模流程
典型的信用评分卡模型如图1-1所示。信用风险评级模型的主要开发流程如下:(1) 获取数据,包括申请贷款客户的数据。数据包括客户各个维度,包括年龄,性别,收入,职业,家人数量,住房情况,消费情况,债务等等。(2) 数据预处理,主要工作包括数据清洗、缺失值处理、异常值处理、数据类型转换等等。我们需要把原始数据层层转化为可建模数据。(3) EDA探索性数据分析和描述性统计,包括统计总体数据量大小,好坏客户占比,数据类型有哪些,变量缺失率,变量频率分析直方图可视化,箱形图可视化,变量相关性可视化等。(4) 变量选择,通过统计学和机器学习的方法,筛选出对违约状态影响最显著的变量。常见变量选择方法很多,包括iv,feature importance,方差等等 。另外缺失率太高的变量也建议删除。无业务解释性变量且没有价值变量也建议删除。少数数据集存在数据泄露变量,这种模型各种性能会接近完美,需要踢除数据泄露变量。(5) 模型开发,评分卡建模主要难点是woe分箱,分数拉伸,变量系数计算。其中woe分箱是评分卡中难点中难点,需要丰富统计学知识和业务经验。目前分箱算法多达50多种,没有统一金标准,一般是先机器自动分箱,然后再手动调整分箱,最后反复测试模型最后性能,择优选取最优分箱算法。(6) 模型验证,核实模型的区分能力、预测能力、稳定性、排序能力等等,并形成模型评估报告,得出模型是否可以使用的结论。模型验证不是一次性完成,而是当建模后,模型上线前,模型上线后定期验证。模型开发和维护是一个循环周期,不是一次完成。(7) 信用评分卡,根据逻辑回归的变量系数和WOE值来生成评分卡。评分卡方便业务解释,已使用几十年,非常稳定,深受金融行业喜爱。其方法就是将Logistic模型概率分转换为300-900分的标准评分的形式。(8) 建立评分卡模型系统,根据信用评分卡方法,建立计算机自动信用化评分系统。美国传统产品FICO有类似功能,FICO底层语言是Java。目前流行Java,python或R多种语言构建评分卡自动化模型系统。
(9)模型监控,着时间推移,模型区分能力,例如ks,auc会逐步下降,模型稳定性也会发生偏移。我们需要专业模型监控团队,当监控到模型区分能力下降显著或模型稳定性发生较大偏移时,我们需要重新开发模型,迭代模型。模型监控团队应该每日按时邮件发送模型监控报表给相关团队,特别是开发团队和业务团队。
获取数据
建模数据方面包含借款申请人填写的基本资料,通讯录,通话记录和其他运营商数据,以及在其他第三方平台提供的黑名单和其他借贷平台借贷还款数据,和app抓取的手机数据,有些还包含人行征信,社保公积金工资银行流水,个人消费等数据,针对不同额度和客群需要用户填写和授权的资料不一样。收集需要的数据后,通过SQL提取相关变量特征构造建模用的宽表。具体建模信息如下图。
python评分卡建模实战数据集
之前我讲过利用German credit德国信用数据集建立python信用评分卡模型,该数据集优势是数据量小,对计算机硬件要求不高,方便各个阶层学员学习和测试。
信用评分算法对违约概率进行猜测,是银行用来确定是否应授予贷款的方法。数据属于个人消费类贷款,通过预测某人在未来两年内遇到财务困境的可能性,提高信用评分的最新水平。
银行在市场经济中发挥着至关重要的作用。他们决定谁可以获得资金以及以什么条件获得资金,并且可以做出投资决策或终止投资决定。为了让市场和社会发挥作用,个人和公司需要获得信贷。
give me some credit有15万样本数据,该数据量解决中大型金融机构实战数据,更加接近金融企业项目实战。该数据集通过预测某人在未来两年内遇到财务困难的可能性,提高信用评分的水平。
变量中文释义,变量少而精,可作为建模的参考
我们对上述变量归类,主要分为:
– 基本属性:包括了借款人当时的年龄。
– 偿债能力:包括了借款人的可用额度比值、月收入、负债比率。
– 信用历史:两年内35-59天逾期次数、两年内60-89天逾期次数、两年内90
天或高于90天逾期的次数。
– 财产状况:包括了开放式信贷和贷款数量、不动产贷款或额度数量。
– 其它因素:借款人的家属数量(不包括本人在内)
kaggle模型竞赛中,奖金5000美金,模型评估指标为AUC。
互联网上国内外关于give me some credit数据集AUC得分最佳表现为0.85.
但我方《python信用评分卡建模(附代码)》教程中AUC可以达到0.929,调参后AUC可以更高,远高于互联网上give me some credit论文的模型性能AUC=0.85。互联网论文关于建模步骤有很多看似有理,但实际上不正确的理论。
如果你好奇我方如何将give me some credit数据集AUC达到0.929,可参考教程《python信用评分卡建模(附代码)》
《python信用评分卡建模(附代码)》中give me some credit数据集一览。
数据预处理
数据预处理,主要工作包括数据清洗、缺失值处理、异常值处理、数据类型转换等等。我们需要把原始数据层层转化为可建模数据。
3.1 缺失值处理
give me some credit数据集缺失数据并不严重,只有两个变量有缺失值,缺失率为2%和19.8%。
现实中数据存在大量缺失值是非常普遍。央行征信很多变量缺失率可以高达99%。缺失值会导致一些数据分析和建模的问题。通常在信用风险评分卡模型开发的第一步我们就要进行缺失值处理。缺失值处理的方法,包括如下几种。(1) 直接删除含有缺失值的样本。(2) 填补缺失值。(3) 不予理睬。
# 用随机森林对缺失值预测填充函数defset_missing(df): # 把已有的数值型特征取出来process_df = df.ix[:,[5,0,1,2,3,4,6,7,8,9]] # 分成已知该特征和未知该特征两部分known = process_df[process_df.MonthlyIncome.notnull()].as_matrix()unknown = process_df[process_df.MonthlyIncome.isnull()].as_matrix() # X为特征属性值X = known[:, 1:] # y为结果标签值y = known[:, 0] # fit到RandomForestRegressor之中rfr = RandomForestRegressor(random_state=0, n_estimators=200,max_depth=3,n_jobs=-1)rfr.fit(X,y) # 用得到的模型进行未知特征值预测predicted = rfr.predict(unknown[:, 1:]).round(0)print(predicted) # 用得到的预测结果填补原缺失数据df.loc[(df.MonthlyIncome.isnull()),'MonthlyIncome'] = predicted return df
3.2 异常值处理
缺失值处理后,我们需要进行异常值检验。异常值分为统计学上异常值和业务上异常值。统计学异常值通常用箱型图来判断,如下图。
业务上异常值是根据业务线对变量定义和常识来判断该数据是否合理。比如give me some credit数据集中有个人客户的年龄为0,按照常理,我们认为该值为异常值。哪个贷款公司会把钱借给年龄为0的用户?
3.3 数据划分
我们建立模型后一般会遇到下面三种情况,underfitting欠拟合,just right拟合合适,overfitting过度拟合。
为了验证模型的性能,我们需要对数据集进行划分。
首先把所有数据分成x数据和y数据(target目标变量)。
然后把x数据和y数据分成训练集和测试集,并生成四个变量train_x,test_x,train_y,test_y.
EDA探索性数据分析和描述性统计
由于人大脑的生理结构,大部分人对数字不敏感,但数据可视化对大脑理解更友好。这就是数据可视化重要性,也方便向领导或决策层汇报工作。
EDA探索性数据分析和描述性统计包括统计总体数据量大小,好坏客户占比,数据类型有哪些,变量缺失率,变量频率分析直方图可视化,箱形图可视化,变量相关性可视化等。EDA是Exploratory Data Analysis缩写,中文释义为探索性数据分析。探索性数据分析方法很多常见的有:hist直方图、scater散点图,boxer箱线图,heat热力图,pairplot配对图。
give me some credit数据集的age年龄变量直方图
give me some credit数据集的target目标变量直方图,可以发现好坏客户占比非常不平衡。好客户数量大概是坏客户数量15倍左右。
give me some credit数据集的家庭成员数量变量直方图
give me some credit数据集所有变量的pairplot配对图,大量信息一目了然。
give me some credit数据集所有变量相关性的热力图,可以分析出有6对变量相关性非常高,变量筛选时候需要注意。
corr = data.corr()#计算各变量的相关性系数 xticks = ['x0','x1','x2','x3','x4','x5','x6','x7','x8','x9','x10']#x轴标签 yticks = list(corr.index)#y轴标签 fig = plt.figure() ax1 = fig.add_subplot(1, 1, 1) sns.heatmap(corr, annot=True, cmap='rainbow', ax=ax1, annot_kws={'size': 9, 'weight': 'bold', 'color': 'blue'})#绘制相关性系数热力图 ax1.set_xticklabels(xticks, rotation=0, fontsize=10) ax1.set_yticklabels(yticks, rotation=0, fontsize=10) plt.show()
give me some credit数据集age年龄变量关于好坏客户的分类箱型图统计。我们可以看到好客户年龄中位数要高于坏客户年龄中位数。
变量选择
变量选择,通过统计学和机器学习的方法,筛选出对违约状态影响最显著的变量。常见变量选择方法很多,包括iv,feature importance,方差等等 。另外缺失率太高的变量也建议删除。无业务解释性变量且没有价值变量也建议删除。
《python信用评分卡建模(附代码)》教程中集成树算法catboost的feature importance可视化图,我们可以明显看出RevolvingUtilizationOfUnsecuredLines可用额度比值变量的重要性最高。图中蓝色柱越长,重要性越大,反之亦然。
《python信用评分卡建模(附代码)》教程中变量iv值计算结果如下,我们清晰看到RevolvingUtilizationOfUnsecuredLines可用额度比值变量的iv最高。
通过feature importance和iv值方法我们都得到同样结论:RevolvingUtilizationOfUnsecuredLines可用额度比值变量是最重要的。
数据泄露
数据泄露是一个专用名词,表示有入模变量和target目标变量作用极其相似,这样会让模型提前知道预测结果,发生作弊,模型表现接近完美,如下图。
我们变量筛选环节需要查找是否存在数据泄露变量。
查找方法很多,最好方法是看变量相关性。数据泄漏变量和target目标变量相关性会接近1
第二种方法是模型法,通过变量重要性来观察数据泄漏变量。如下图lightgbm在数据泄漏观察中效果不如catboost。lightgbm变量重要性排序中,每个变量权重都会考虑相对平衡。catboost变量重要性会突出重要变量,这样更容易找出数据泄漏变量。
我方《python风控建模实战lendingClub》教程中重点阐述了catboost算法细节运用,有兴趣朋友可前往了解。
模型开发
下图是建立分类器模型的常见算法,模型验证方法和模型监控内容结构化展示
逻辑回归,决策树,随机森林不同算法的对比如下图
逻辑回归的类型:
大体上可以分为,
1. 二元逻辑回归——两个或二元结果,如是或否
2. 多项 Logistic 回归 - 三个或更多结果,如一等、二等和三等或无学位
3.序数逻辑回归——三个或更多类似于多项逻辑回归。
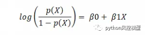
评分卡模型开发用的是逻辑回归。逻辑回归的一个难点是sigmoid函数,我们简单介绍一下sigmoid函数和逻辑回归关系。
Logit 函数到 Sigmoid 函数 - Logistic 回归:
逻辑回归可以表示为,
其中 p(x)/(1-p(x)) 称为赔率,左侧称为 logit 或 log-odds 函数。几率是成功几率与失败几率的比值。因此,在逻辑回归中,输入的线性组合被转换为 log(odds),输出为 1。
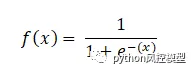
以下是上述函数的反函数
这是 Sigmoid 函数,它产生 S 形曲线。它总是返回一个介于 0 和 1 之间的概率值。Sigmoid 函数用于将期望值转换为概率。该函数将任何实数转换为 0 到 1 之间的数字。我们利用 sigmoid 将预测转换为机器学习中的概率。
数学上的 sigmoid 函数可以是,
模型开发,评分卡建模主要难点是woe分箱,分数拉伸,变量系数计算。其中woe分箱是评分卡中难点中难点,需要丰富统计学知识和业务经验。目前分箱算法多达50多种,没有统一金标准,一般是先机器自动分箱,然后再手动调整分箱,最后反复测试模型最后性能,择优选取最优分箱算法。
《python信用评分卡建模(附代码)》讲解Kmeans,等频分箱、等距分箱,卡方分箱,决策树分箱算法原理和python实现分箱代码。《python信用评分卡建模(附代码)》还告诉你如何选择分箱方法?在不同需求下,选择最合适分箱方法。
分箱主要分为有监督方法和无监督方法。k均值聚类算法(k-means clustering algorithm)是一种迭代求解的聚类分析算法,其步骤是,预将数据分为K组,则随机选取K个对象作为初始的聚类中心,然后计算每个对象与各个种子聚类中心之间的距离,把每个对象分配给距离它最近的聚类中心。聚类中心以及分配给它们的对象就代表一个聚类。每分配一个样本,聚类的聚类中心会根据聚类中现有的对象被重新计算。这个过程将不断重复直到满足某个终止条件。终止条件可以是没有(或最小数目)对象被重新分配给不同的聚类,没有(或最小数目)聚类中心再发生变化,误差平方和局部最小。下图是Kmeans分箱算法原理。
传说中的最优分箱就是决策树分箱。
决策树分箱算法步骤为:
步骤 1:首先,它使用我们想要离散化的变量来训练一个有限深度(2、3 或 4)的决策树来预测目标。
第 2 步:然后将原始变量值替换为树返回的概率。单个 bin 内的所有观测值的概率相同,因此用概率替换相当于将决策树决定的截止值内的观测值分组。
决策树分箱算法好处和缺点是:
好处 :
缺点:
(决策树分箱可视化)
等距分箱可用于类似age年龄的变量。
分箱完成后,就把分箱数据转换为woe数据,最后用逻辑回归算法建模。
分箱的简单代码
# 定义自动分箱函数defmono_bin(Y, X, n = 20): r = 0 good=Y.sum() bad=Y.count()-goodwhile np.abs(r) < 1: d1 = pd.DataFrame({"X": X, "Y": Y, "Bucket": pd.qcut(X, n)}) d2 = d1.groupby('Bucket', as_index = True) r, p = stats.spearmanr(d2.mean().X, d2.mean().Y) n = n - 1 d3 = pd.DataFrame(d2.X.min(), columns = ['min']) d3['min']=d2.min().X d3['max'] = d2.max().X d3['sum'] = d2.sum().Y d3['total'] = d2.count().Y d3['rate'] = d2.mean().Y d3['woe']=np.log((d3['rate']/(1-d3['rate']))/(good/bad)) d4 = (d3.sort_index(by = 'min')).reset_index(drop=True) print("=" * 60) print(d4) return d4
模型验证
逻辑回归算法建模后,我们需要模型验证。模型验证是核实模型的区分能力、预测能力、稳定性、排序能力等指标是否合格,并形成模型评估报告,得出模型是否可以使用的结论。模型验证不是一次性完成,而是当建模后,模型上线前,模型上线后定期验证。模型开发和维护是一个循环周期,不是一次完成。
着时间推移,模型区分能力,例如ks,auc会逐步下降,模型稳定性也会发生偏移。当模型区分能力下降显著或模型稳定性发生较大偏移时,我们需要重新开发模型,迭代模型。
模型验证指标涉及到脚本主要来自sklearn的metrics,具体指标如下:
排序类评估——ROC指标:
很多统计指标来源于战争。ROC最早用于英国雷达分辨鸟或德国飞机的概率。二战期间首次用于分析雷达有效性。在早些时候雷达,有时很难从飞机上分辨出一只鸟。英国人率先使用 ROC 曲线来优化他们依赖雷达进行判别的方式在来袭的德国飞机和鸟类之间。
AUC(area under the curve)是机器学习领域中一种常见且重要的模型评估指标,用于计算二元分类器效率的方法。AUC表示ROC(receiver operator characteristic)曲线下的面积,即AUC = ROC 曲线下面积。
sensitivity=黑色竖线右边红色像素面积/红色像素总面积
false positive=黑色竖线右边绿色像素面积/蓝色像素总面积
当我们对不同的阈值进行遍历时,产生的 (假阳率, 真阳率) 坐标点也就可以连成ROC曲线,进而求得曲线下面积AUC。
K-S值
在完成一个模型后,将测试模型的样本平均分成10组,以好样本占比降序从左到右进行排列,其中第一组的好样本占比最大,坏样本占比最小。将KS检验应用于信用评级模型主要是为了验证模型对违约对象的区分能力,通常是在模型预测全体样本的信用评分后,将全体样本按违约与非违约分为两部分,然后用KS统计量来检验这两组样本信用评分的分布是否有显著差异。
GINI系数
使用洛伦茨曲线,可以描述预期违约客户的分布。
基尼系数常用于统计宏观经济的贫富差距。例如将一个国家所有的人口按最贫穷到最富有进行排列,随着人数的累计,这些人口所拥有的财富的比例也逐渐增加到100%,按这个方法得到图中的曲线,称为洛伦兹曲线。基尼系数就是图中A/B的比例。可以看到,假如这个国家最富有的那群人占据了越多的财富,贫富差距越大,那么洛伦茨曲线就会越弯曲,基尼系数就越大。
基尼系数显示的是好客户的比例(累计),而不是所有客户。它显示了模型与随机模型相比具有更好分类能力的程度。它也被称为基尼指数。基尼系数可以取-1 到1 之间的值。负值对应于分数含义相反的模型。
下面看基尼系数的计算步骤:

在ROC图中,GINI=A/(A+B)=A/C=(A+C)/C-1=AUC/C-1
其中,C=1/2 所以,GINI=2AUC-1
《python信用评分卡建模(附代码)》教程中训练模型AUC为0.929,具体模型性能如下:
model accuracy is: 0.9406307593547452
model precision is: 0.9060132575757576
model sensitivity is: 0.6077497220898841
f1_score: 0.7274973861800208
AUC: 0.9290751730536397
good classifier
gini 0.8581503461072795
ks value:0.7107
远超互联网give me some credit数据集建模论文的模型性能AUC 0.85。
逻辑回归调参
在模型验证中,我们还要测试模型参数是否最佳。逻辑回归中没有需要调整的基本超参数。尽管它有很多参数,但以下三个参数可能有助于微调以获得更好的结果,
正则化(惩罚)有时可能是有益的。
惩罚 - {'l1', 'l2', 'elasticnet', 'none'}, default='l2'
惩罚强度由 C 参数控制,这可能很有用。
C –浮点数,默认值 = 1.0
使用不同的求解器,您有时可能会观察到有用的性能或收敛变化。
求解器 - {'newton-cg', 'lbfgs', 'liblinear', 'sag', 'saga'}, default='lbfgs'
注意:要使用的算法由惩罚决定:求解器支持的惩罚:
1. 'newton-cg' – ['l2', 'none']
2. 'lbfgs' – ['l2', 'none']
3.'liblinear' - ['l1', 'l2']
4. 'sag' – ['l2', 'none']
5. 'saga' – ['elasticnet', 'l1', 'l2', 'none']
评分卡诞生
模型根据逻辑回归的变量系数和WOE值来生成评分卡。评分卡方便业务解释,已使用几十年,非常稳定,深受金融行业喜爱。其方法就是将Logistic模型概率分转换为300-900分的标准评分的形式。国内绝大多数信用评分卡都效仿的美国FICO分数。
FICO 分数为 800 或以上的个人具有特殊的信用记录。信用评分高的人很可能多年来拥有多项信用额度。他们没有超过任何信用额度,并及时还清了所有债务。
中高 700 分的 FICO 分数是不错的分数。得分在此范围内的个人明智地借贷和消费并及时付款。这些人,例如 800 岁以上的人,往往更容易获得信贷,并且通常支付的利率要低得多。
最常见的分数介于 650 和 750 之间。虽然分数在此范围内的个人信用相当好,但他们可能会延迟付款。这些人通常不会很难获得贷款。但是,他们可能需要支付略高的利率。
最后一个要考虑的实际范围是 599 或更低的分数。它们被认为信用评分不佳,通常是由于多次延迟付款、未能偿还债务或已转到收款机构的债务所致。拥有此类 FICO 分数的个人通常很难(如果不是不可能的话)获得任何形式的信用。
如下图, FICO信用分在very poor300-579分的占比最低,只有17%;good670-739分的占比最高,达到21.5%。
《python信用评分卡建模(附代码)》中评分卡生成有详细章节讲解,包括PDO,theta0,P0,A,B,odds,woe,iv等专业术语有完全解读。
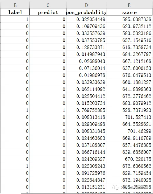
评分卡自动评分系统
我们通过上面基础,可以生成自动化评分系统,对每个申请单用户生成好坏客户真实标签,好坏客户预测标签,坏客户概率值,拉伸评分。
根据信用评分卡方法,我们可以建立计算机自动信用化评分系统。美国传统产品FICO有类似功能,FICO底层语言是Java。目前流行Java,python或R多种语言构建评分卡自动化模型系统。如果数据量大,建立自动信用化评分系统并非易事,需要专业团队不断测试和更新。python或R是开源语言,包定期升级,如果没有专业团队维护,该系统在将来会出现严重问题。
模型监控
着时间推移,模型区分能力,例如ks,auc会逐步下降,模型稳定性也会发生偏移。我们需要专业模型监控团队,当监控到模型区分能力下降显著或模型稳定性发生较大偏移时,我们需要重新开发模型,迭代模型。模型监控团队应该每日按时邮件发送模型监控报表给相关团队,特别是开发团队和业务团队。
模型监控的ks指标,当模型ks低于0.2时,模型区分好坏客户能力几乎没有作用,需要重新迭代模型。
模型监控的bad rate指标,当bad rate突然升高时,领导会非常紧张,这意味着大量贷款收不回成本。
模型监控的PSI指标,当PSI高于0.25时,暗示模型极不稳定,需要重新迭代。
模型监控与模型效果评测一样,也是从两个方面去监控,一是有效性,主要看过件样本在后续的逾期表现,这种逾期不需要和建模样本那么严格,可以放松一些。二是稳定性,同样是变量稳定性和模型稳定性,评测的方式与模型效果评价部分类似。监测可以分为前端、后端监控。
(1)前端监控,授信之前,别的客户来了,这个模型能不能用?
长期使用的模型,其中的变量一定不能波动性较大。
比如,收入这个指标,虽然很重要,但是波动性很大,不适合用在长期建模过程中。如果硬要把收入放到模型之中,可以改成收入的百分位制(排名)。
(2)后端监控,建模授信之后,打了分数,看看一年之后,分数是否发生了改变。
主要监控模型的正确性以及变量选择的有效性。出现了不平滑的问题,需要重新考虑
总结
基于Python的信用评分卡模型主要流程就为大家介绍到这里,但实操评分卡建模中有很多细节,互联网上对这些细节描述过于草率甚至不正确。例如变量缺失率达到80%-90%就应该直接删除该变量吗?变量相关性高达0.8就可以去掉吗?经验丰富建模人员需要在数学理论,业务线实际需求,计算机测试结果等多方面找到平衡点,而不是只从一个角度思考问题。这就像经验丰富外科医生并不一定完全遵循教科书的理论。统计学,机器学习,人工智能等领域里有很多争议地方,并非有完全统一共识。各位在学习时要保持独立思考能力,这样才能不断优化数据科学知识。
如果你有企业债券违约风险预测模型建模需求请商务联系QQ:231469242,微信:drug666123,或扫描下面二维码加微信咨询。
公司自营课程如下
如果你对《python风控建模实战案例数据库》数据库感兴趣,微信二维码扫一扫即可访问和收藏,了解更多相关介绍。