各位亲爱的读者朋友们,大家好,我是老马。
眼看着2026年3月份的GESP认证考试越来越近,很多备考Python一级的同学和家长开始关心:考试会考什么?重点难点在哪里?今天,老马就结合刚刚过去的2025年12月真题,为大家深度剖析Python一级的核心考点——“程序逻辑基础:条件判断与循环”,并送上实用的解题思路与技巧。我们的目标是:用清晰的思路,化解复杂的代码。
让我们先快速浏览一下2025年12月考试的两道典型题目:
【提交】
https://www.luogu.com.cn/problem/B4446
【问题描述】
小杨的手机就像一个聪明的小助手,当电量变化时,它会用不同的方式来提醒我们,假设当前的电量百分比为 :
【输入描述】
第一行一个正整数 ,代表数据组数。
对于每组数据,一行包含一个正整数 ,代表手机电量百分比。
【输出描述】
对于每组数据,输出一行,代表当前手机显示的电量信息。
【样例输入1】
5101209919【样例输出1】
RRL99L【样例解释】
输入样例 1 共有五组数据:
【数据范围】
对于所有测试点,保证 ,。
【提交】
https://www.luogu.com.cn/problem/B4063
【问题描述】
小杨有 个正整数,他想知道其中的奇数有多少个,偶数有多少个。
【输入描述】
第一行包含一个正整数 ,代表正整数个数。
之后 行,每行包含一个正整数。
【输出描述】
输出两个正整数(用英文空格间隔),代表奇数的个数和偶数的个数。如奇数或偶数的个数为0,则对应输出0。
【样例输入1】
512345【样例输出1】
3 2【数据范围】
对于全部数据,保证有 且正整数大小不超过 。
“这两道题看似不同,但考查的知识点高度重合,这正是GESP一级考试的特点:围绕核心概念,变换不同场景。其核心考点可以归结为两点:
条件判断(if...elif...else语句):让程序能够根据不同情况做出不同反应。 循环结构(for循环):让程序能够重复执行某段代码,高效处理批量数据。 老马可以负责任地告诉大家,2026年3月的考试,这两大知识点依然是绝对的重中之重。只要掌握了它们,你就掌握了Python一级考试的“命门”。
很多同学做题时喜欢直接动手写代码,往往容易逻辑混乱。老马强烈推荐大家在动键盘之前,先动笔画出 “解题流程图” 。这能将抽象的逻辑可视化,是避免出错的神器。
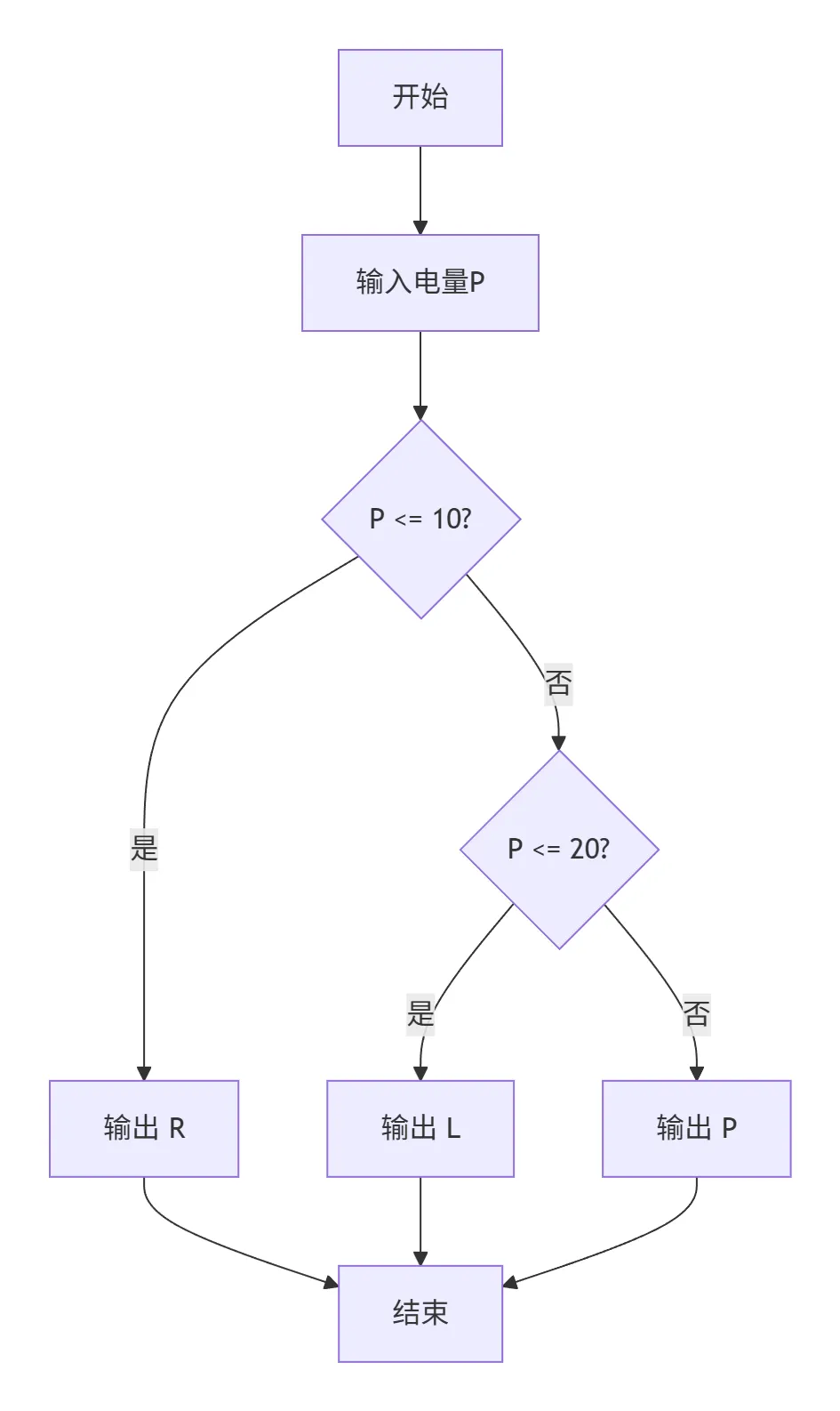
我们以 【手机电量显示】 为例。
第一步:提炼规则(审题)
题目规则非常清晰:
P <= 10 -> 输出 R10 < P <= 20 -> 输出 LP > 20 -> 输出 P第二步:绘制流程图(核心技巧)
用流程图梳理逻辑,可以一目了然:

第三步:转换为代码(水到渠成)
此时,流程图几乎直接对应了if-elif-else语句,写代码就变成了“翻译”工作。
T = int(input()) # 读取数据组数for _ in range(T): # 循环T次 p = int(input()) # 读取每组电量if p <= 10: # 对应第一个判断 print("R")elif p <= 20: # 注意:因为第一个条件不成立,所以此时p肯定>10,只需判断<=20 print("L")else: # 以上条件都不成立,即p>20 print(p)老马点睛:
elif p <= 20 这个条件已经隐含了 p > 10,无需写成 elif p > 10 and p <= 20,这样代码更简洁。我们以 【奇数和偶数】 为例。
第一步:明确任务
输入n个数,我们需要重复n次“读取数字-判断奇偶”这个动作。这天然适合用for _ in range(n)循环来实现。
第二步:建立“计数器”
我们需要两个“盒子”来分别存放奇数和偶数的个数。在编程中,这就是变量count_odd和count_even,初始值都为0。
第三步:绘制流程图

第四步:转换为代码
n = int(input())k1, k2 = 0, 0# 初始化两个计数器for i in range(n): x = int(input())if x % 2 == 1: # 判断奇偶的核心:除以2余数为1 k1 += 1# 奇数计数器+1else: k2 += 1# 偶数计数器+1print(k1, k2) # 最终输出结果老马点睛:
%是取模运算符,计算余数。x % 2的结果只能是0或1,这是判断奇偶最可靠的方法。input()、int()、print()等基本函数的用法要烂熟于心。编程学习如同练武,条件判断和循环就是最基础的“马步”和“拳法”。只要通过流程图这个“心法”勤加练习,做到思路清晰,就能以不变应万变,在GESP Python一级考试中游刃有余。
希望这篇文章能对各位考生有所帮助。老马在此预祝大家在2026年3月的考试中取得优异成绩!
青少年编程竞赛交流
「青少年编程竞赛交流群」已成立(适合6至18周岁的青少年),添加小助手微信,让他邀请大家进入学习群。进群之后大家可以参与定期组织的21天刷题打卡、等级考试测评、教育部白名单比赛辅导以及青少年编程组队竞赛等活动。
