differentiate方法,并且全程标注了变量单位以用于检查,文中标注变量单位方法如下:
height_to_geopotential函数来实现。
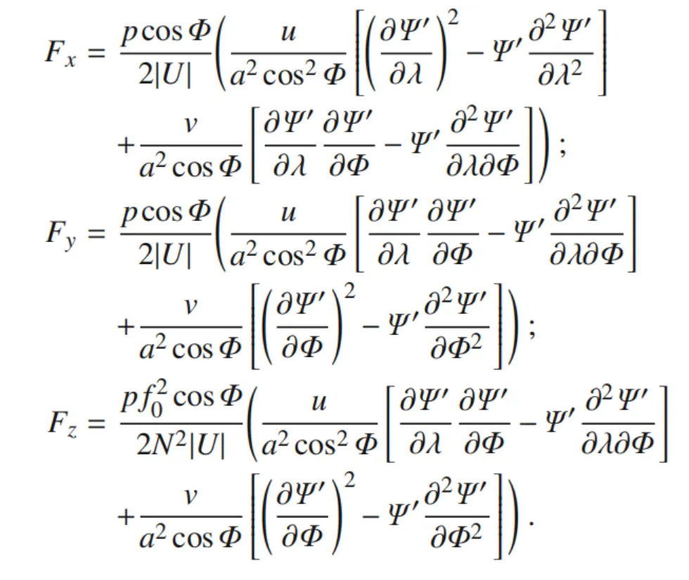
Φ | ||
f₀ | rad・s⁻¹(弧度每秒) | |
Ψ | ||
f = mpcalc.coriolis_parameter(Φ['lat'])
其中:Φ['lat']是 xarray DataArray 类型的纬度数组(单位为度);f = f.assign_coords({'lat': lat_rad}) 重新赋值了纬度坐标(弧度),这仅改变坐标标签,不影响 f 的数值本身。wind_climatic = mpcalc.wind_speed(u_climatic, v_climatic)wind_climaticfrom metpy.constants import earth_avg_radius



