点击蓝字 关注我们
WINTER

01

引言
Introduction

咱们今天就来看一个网络毒理学的纯生信文章,其实依据网毒思路的迭代速度,现在已经进展到网毒+多组学分析的模式了,那为啥这个纯生信思路还能发到2区6分+呢?
因为网毒+多组学模式现阶段还属于压箱底的绝招,发2区只能算保底,是要靠它冲8-10分的!如果你的选题和思路创新性都还不错的话,冲个2区纯生信还是非常有希望的,放心用起来!下面就来看看这篇文章是不是满足这个条件吧:
该文章由广西医科大学第一附属医院发表,研究敌草快诱导脑损伤的分子机制:
1.研究目标:选择的是敌草快,它是一种广泛使用的农药,虽然已有一些毒理学研究,但在网毒文章中还比较少见,并且其致脑损伤的机制也不清楚,所以选题创新性很高,这一点就打下了发高分的基础;
2.思路设计:网毒+单细胞分析+分子对接的联合思路,热度和创新性都没的说,别看用到了单细胞分析,但大家一点也不用担心分析难度,因为在线数据库就能解决,可以直接分析靶点的单细胞表达!上车换个疾病或者毒性物质就能模仿一篇!
🎁 限时福利社 🎁
拼团价更香:三人成行,直接省下288元!
转发有礼:分享海报到朋友圈,精美礼品等你拿!
课程总价:6980元,掌握三项硬技能,这投资值!
👇 戳下方二维码,直接对话课程顾问,抢占优惠席位!👇

文章整体的设计思路是比较容易理解的,如果你对这个分析角度和联合思路感兴趣,想复现或者定制个性化分析思路的宝子只需要把你的研究方向告诉我,剩下的就交给小羊了,专业团队主打一个省心满意~

02

文献解读
Literature Interpretation


标题:敌草快诱导脑损伤的分子机制:来自网络毒理学和单细胞RNA测序的见解
发表期刊:Ecotoxicology and Environmental Safety
发表日期:2025年6月
影响因子:6.1/Q1

研究背景
Research Background
敌草快(DQ)作为百草枯禁用后的替代除草剂,因其价格低廉、起效快被广泛使用,但伴随而来的是日益增多的中毒事件。令人担忧的是,DQ中毒死亡率在中国高达16.7-60%,其中中枢神经系统损伤尤为严重,患者常出现头晕、嗜睡、抽搐甚至昏迷等症状。尽管已知DQ通过产生活性氧(ROS)引发氧化应激,但其诱发脑损伤的具体分子机制仍如"黑箱",靶点不清、通路不明,这严重制约了特效解毒剂的研发。
研究方法
Research
Method

1)毒性预测:利用ProTox平台进行毒性预测以确定敌草快(DQ)的总体毒性特征;
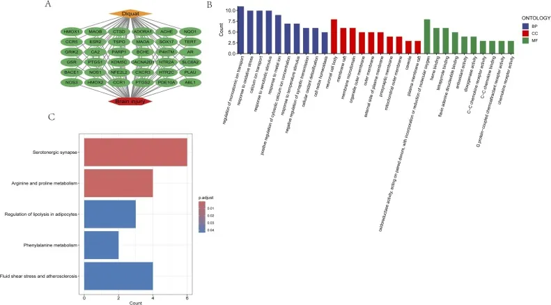
2)网络毒理学分析:使用STITCH和SwissTargetPrediction数据库预测DQ靶基因,同时从GeneCards、OMIM和TTD数据库鉴定脑损伤相关基因,取交集获得DQ诱导的脑损伤的潜在靶基因;
3)靶点分析:对交叉基因进行GO和KEGG富集分析,并通过PPI网络识别核心靶标;
4)单细胞分析:使用来自PanglaoDB数据库的单细胞数据分析这些核心靶点在脑组织中的表达模式;
5)分子对接:使用CB-Dock2平台进行分子对接以验证DQ和核心靶之间的结合亲和力。



研究结果
Research Results
1.毒性预测和网络毒理学分析

通过数据库挖掘获得65个DQ靶点基因与2810个脑损伤相关基因,交集鉴定出36个关键基因。


2.靶点分析

PPI网络筛选出前10个核心基因,结合功能分析最终锁定PTGS2(环氧合酶-2)、NFE2L2(Nrf2转录因子)、HMOX1(血红素加氧酶1)、MAOB和MAOA(单胺氧化酶)五个关键靶点。


3.单细胞分析



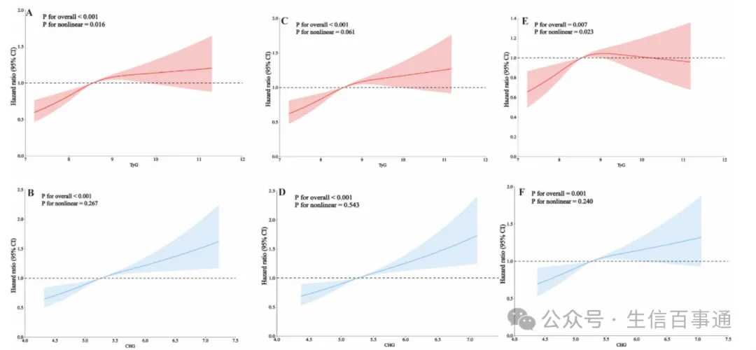
4.TyG/CHG与CVD风险的RCS分析:

【图3】展示了一个未经调整的RCS模型,该模型显示TyG指数与心血管疾病风险之间存在正向非线性关系。即使在调整变量后,TyG指数仍与心血管疾病风险呈现非线性关联(图3E)。(图3B)表明CHG指数与心血管疾病风险呈正向线性关系。经过变量调整后,图3D和3F得出了相同结论。


4.分子对接




文章小结
Summary of the article
感兴趣的小伙伴可以滴滴小羊,方案设计、生信分析,高速服务器,应有尽有哦!
END

往期推荐
1
2
23.5/Q1,中山大学团队:从“棕榈酰化”研究铁死亡,再加上“分子对接+虚拟筛选+SPR”,轻松拿下水刊“之王”NC!
3
Science

求点赞

求分享

求喜欢
