当前位置:首页>python>狼群中的智者:自适应协同灰狼优化算法Python揭秘

狼群中的智者:自适应协同灰狼优化算法Python揭秘

  • 2026-02-26 00:57:03
狼群中的智者:自适应协同灰狼优化算法Python揭秘

在自然界中,灰狼以其严谨的社会结构和高效的团队狩猎而闻名。而在算法世界中,灰狼优化算法正是模拟了这种群体智能,成为解决复杂优化问题的利器。它的进化版本——自适应协同灰狼优化算法,能够克服传统算法的局限,成为更聪明的“狼群智者”。

一、灰狼算法的自然界灵感

灰狼生活在严密的社会结构中,等级制度明确

α狼:位居顶层,象征着最优解,是群体中的决策者

β狼:次优解,是α狼的协助者,当α狼空缺时接替其位置

δ狼:第三层级,听从α和β的指导,负责侦察、放哨等任务

ω狼:最底层,代表其余候选解,没有决策权

在捕猎过程中,灰狼群会经历三个主要阶段:跟踪和接近猎物、追捕和包围猎物、攻击猎物。这种社会结构和捕猎策略,完美对应了优化算法中的搜索过程——从全局探索到局部开发,最终找到最优解。

二、传统灰狼算法的数学之美

传统GWO算法的核心思想是:通过α、β、δ三只头狼的位置来指导整个狼群向猎物(最优解)靠近。

算法的数学表达主要包括:

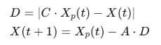
1. 包围猎物

灰狼包围猎物的行为可表示为:

其中,A和C是系数向量,决定了灰狼下一步移动的方向和步长。

2. 狩猎机制

在每次迭代中,算法会选取当前种群中最优的3只灰狼(α、β、δ),根据它们的位置信息来更新其他灰狼个体的位置

3. 收敛因子

收敛因子a从2线性减小到0,控制着算法的勘探与开发平衡:

三、传统灰狼的痛点:为什么需要改进?

尽管传统GWO算法具有结构简单、参数少、易实现等优点 ,但它也存在明显的不足:

过早收敛:算法容易在早期就陷入局部最优,无法找到全局最优解

求解精度低:面对复杂问题时,收敛精度不高

种群多样性不足:随机初始化的种群无法保证较高的多样性

后期收敛速度慢:随着迭代进行,算法收敛速度明显下降

这些问题限制了GWO在复杂优化任务中的表现,特别是在高维问题和多峰函数优化中表现不佳。

四、自适应协同灰狼算法的进化策略

自适应协同灰狼优化算法通过多种改进策略,让狼群变得更聪明、更高效。

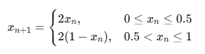
策略一:混沌映射初始化种群

传统GWO使用随机方法初始化种群,这可能导致种群分布不均匀,影响算法的全局搜索能力。

改进策略采用改进的Tent混沌映射生成初始种群

混沌映射具有随机性、非线性和遍历性的特点,能使初始种群更均匀地分布在搜索空间内,为全局搜索多样性奠定基础。

策略二:非线性自适应收敛因子

在传统GWO中,收敛因子a线性下降,这难以真正平衡全局勘探和局部开采的能力

改进策略采用非线性自适应收敛因子:

当k > 1时,迭代初期a下降慢,利于全局搜索;迭代后期a下降快,加速局部收敛。这种自适应调整让算法在探索和开发之间找到更好的平衡。

策略三:α狼主动搜索视野

在传统GWO中,即使是头狼α也仅通过群体更新来优化自己,缺乏主动搜索能力。

改进策略赋予α狼主动搜索视野,使其能在局部范围内寻找更优位置

这样,α狼不仅能引领群狼,还能自我进化,提升局部搜索能力。

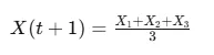
策略四:个体记忆功能

传统GWO的位置更新仅基于当前群体信息,忽视了个体自身的历史经验。

改进策略保存粒子自身运动历史最优解记忆,让每个灰狼个体在更新位置时,不仅参考群体最优(α、β、δ),也参考自身历史最优。这种协同机制既保持了群体智慧,又尊重了个体经验。

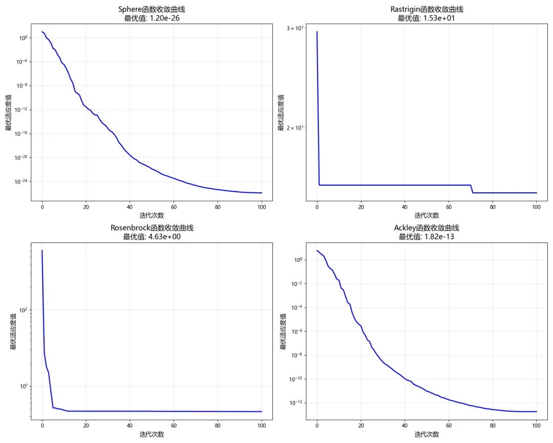
五、Python实现与可视化

import numpy as npimport matplotlib.pyplot as pltfrom mpl_toolkits.mplot3d import Axes3Dimport warningswarnings.filterwarnings('ignore')import matplotlib.pyplot as pltimport matplotlib.font_manager as fmplt.rcParams['font.sans-serif'] = ['Microsoft YaHei''SimHei''Arial Unicode MS''DejaVu Sans']plt.rcParams['axes.unicode_minus'] = Falseclass AdaptiveCooperativeGWO:    """自适应协同灰狼优化算法"""    def __init__(self, obj_func, dim, lb, ub, max_iter=100, pop_size=30):        """        初始化参数        obj_func: 目标函数(最小化问题)        dim: 变量维度        lb: 下界        ub: 上界        max_iter: 最大迭代次数        pop_size: 种群大小        """        self.obj_func = obj_func        self.dim = dim        self.lb = np.array(lb) if isinstance(lb, listelse np.ones(dim) * lb        self.ub = np.array(ub) if isinstance(ub, listelse np.ones(dim) * ub        self.max_iter = max_iter        self.pop_size = pop_size        # 存储收敛历史        self.convergence_curve = []    def tent_map_initialization(self):        """改进的Tent混沌映射初始化种群"""        # 产生混沌序列        p = np.random.rand(self.pop_size, self.dim)        for i in range(1self.pop_size):            for j in range(self.dim):                if p[i - 1, j] < 0.5:                    p[i, j] = 2 * p[i - 1, j]                else:                    p[i, j] = 2 * (1 - p[i - 1, j])        # 映射到搜索空间        positions = self.lb + p * (self.ub - self.lb)        return positions    def nonlinear_adaptive_a(self, t):        """非线性自适应收敛因子"""        a_initial = 2        a_final = 0        k = 2  # 调节系数        # 非线性自适应收敛因子公式        a = a_initial - (a_initial - a_final) * (t / self.max_iter) ** (1 / k)        return a    def alpha_local_search(self, alpha_pos, delta_pos, alpha_score):        """α狼局部搜索"""        # 在α狼周围基于与δ狼的距离进行局部搜索        new_alpha = alpha_pos.copy()        for i in range(self.dim):            # 搜索范围定义为α与δ之间的距离            search_range = abs(alpha_pos[i] - delta_pos[i]) * 0.1            # 在范围内随机搜索            step = np.random.uniform(-search_range, search_range)            new_alpha[i] = alpha_pos[i] + step            # 边界处理            new_alpha[i] = np.clip(new_alpha[i], self.lb[i], self.ub[i])        # 评估新位置        new_score = self.obj_func(new_alpha)        # 如果找到更优位置,则更新        if new_score < alpha_score:            return new_alpha, new_score        else:            return alpha_pos, alpha_score    def optimize(self):        """执行优化"""        # Tent混沌映射初始化种群        positions = self.tent_map_initialization()        # 初始化个体历史最优        personal_best_pos = positions.copy()        personal_best_score = np.array([self.obj_func(p) for p in positions])        # 初始化全局最优(α、β、δ)        scores = personal_best_score.copy()        sorted_indices = np.argsort(scores)        alpha_pos = positions[sorted_indices[0]].copy()        alpha_score = scores[sorted_indices[0]]        beta_pos = positions[sorted_indices[1]].copy()        beta_score = scores[sorted_indices[1]]        delta_pos = positions[sorted_indices[2]].copy()        delta_score = scores[sorted_indices[2]]        # 记录每次迭代的最优值        self.convergence_curve = [alpha_score]        # 主循环        for t in range(self.max_iter):            # 非线性自适应收敛因子            a = self.nonlinear_adaptive_a(t)            for i in range(self.pop_size):                # 对每个灰狼个体,根据α、β、δ更新位置                new_pos = np.zeros(self.dim)                for j in range(self.dim):                    # 根据α狼更新                    r1, r2 = np.random.rand(2)                    A1 = 2 * a * r1 - a                    C1 = 2 * r2                    D_alpha = abs(C1 * alpha_pos[j] - positions[i, j])                    X1 = alpha_pos[j] - A1 * D_alpha                    # 根据β狼更新                    r1, r2 = np.random.rand(2)                    A2 = 2 * a * r1 - a                    C2 = 2 * r2                    D_beta = abs(C2 * beta_pos[j] - positions[i, j])                    X2 = beta_pos[j] - A2 * D_beta                    # 根据δ狼更新                    r1, r2 = np.random.rand(2)                    A3 = 2 * a * r1 - a                    C3 = 2 * r2                    D_delta = abs(C3 * delta_pos[j] - positions[i, j])                    X3 = delta_pos[j] - A3 * D_delta                    # 融合三只头狼的信息(协同机制)                    # 同时结合个体历史最优(记忆功能)                    w1, w2, w3, w4 = 0.30.30.30.1  # 权重系数                    new_pos[j] = w1 * X1 + w2 * X2 + w3 * X3 + w4 * personal_best_pos[i, j]                # 边界处理                new_pos = np.clip(new_pos, self.lb, self.ub)                # 评估新位置                new_score = self.obj_func(new_pos)                # 更新个体历史最优                if new_score < personal_best_score[i]:                    personal_best_pos[i] = new_pos.copy()                    personal_best_score[i] = new_score                # 更新位置                positions[i] = new_pos.copy()                # 更新α、β、δ                if new_score < alpha_score:                    delta_pos = beta_pos.copy()                    delta_score = beta_score                    beta_pos = alpha_pos.copy()                    beta_score = alpha_score                    alpha_pos = new_pos.copy()                    alpha_score = new_score                elif new_score < beta_score:                    delta_pos = beta_pos.copy()                    delta_score = beta_score                    beta_pos = new_pos.copy()                    beta_score = new_score                elif new_score < delta_score:                    delta_pos = new_pos.copy()                    delta_score = new_score            # α狼局部搜索(每10次迭代进行一次)            if t % 10 == 0 and t > 0:                alpha_pos, alpha_score = self.alpha_local_search(alpha_pos, delta_pos, alpha_score)            # 记录收敛曲线            self.convergence_curve.append(alpha_score)            # 输出进度            if (t + 1) % 20 == 0:                print(f'迭代次数: {t + 1}, 当前最优值: {alpha_score:.6e}')        return alpha_pos, alpha_score, self.convergence_curve# 定义测试函数def sphere(x):    """Sphere函数,单峰,最小值0在(0,0,...,0)"""    return np.sum(x ** 2)def rastrigin(x):    """Rastrigin函数,多峰,有大量局部最优,最小值0在(0,0,...,0)"""    x = np.array(x)  # 确保输入是numpy数组    dim = len(x)    return 10 * dim + np.sum(x ** 2 - 10 * np.cos(2 * np.pi * x))def rosenbrock(x):    """Rosenbrock函数,单峰但路径狭窄,最小值0在(1,1,...,1)"""    x = np.array(x)  # 确保输入是numpy数组    dim = len(x)    return np.sum(100 * (x[1:] - x[:-1] ** 2) ** 2 + (x[:-1] - 1) ** 2)def ackley(x):    """Ackley函数,多峰,最小值0在(0,0,...,0)"""    x = np.array(x)  # 确保输入是numpy数组    dim = len(x)    sum1 = np.sum(x ** 2)    sum2 = np.sum(np.cos(2 * np.pi * x))    return -20 * np.exp(-0.2 * np.sqrt(sum1 / dim)) - np.exp(sum2 / dim) + 20 + np.edef plot_convergence_comparison():    """比较不同函数的收敛曲线"""    np.random.seed(42)    dim = 5    max_iter = 100    pop_size = 30    functions = [sphere, rastrigin, rosenbrock, ackley]    func_names = ['Sphere函数''Rastrigin函数''Rosenbrock函数''Ackley函数']    bounds = [(-5.125.12), (-5.125.12), (-2.0482.048), (-55)]    fig, axes = plt.subplots(22, figsize=(1512))    axes = axes.flatten()    for idx, (func, name, bound) in enumerate(zip(functions, func_names, bounds)):        lb = [bound[0]] * dim        ub = [bound[1]] * dim        print(f"\n正在优化 {name}...")        acgwo = AdaptiveCooperativeGWO(func, dim, lb, ub, max_iter, pop_size)        best_pos, best_score, convergence = acgwo.optimize()        axes[idx].plot(convergence, 'b-', linewidth=2)        axes[idx].set_xlabel('迭代次数', fontsize=12)        axes[idx].set_ylabel('最优适应度值', fontsize=12)        axes[idx].set_title(f'{name}收敛曲线\n最优值: {best_score:.2e}', fontsize=14)        axes[idx].set_yscale('log')        axes[idx].grid(True, alpha=0.3)    plt.tight_layout()    plt.savefig('convergence_comparison.png', dpi=300, bbox_inches='tight')    plt.show()def plot_3d_landscape():    """绘制三维函数地形"""    fig = plt.figure(figsize=(186))    # 生成网格数据    x = np.linspace(-55100)    y = np.linspace(-55100)    X, Y = np.meshgrid(x, y)    # 计算函数值 - 将网格点转换为适合函数调用的格式    Z_sphere = X ** 2 + Y ** 2    # Rastrigin函数    Z_rastrigin = np.zeros_like(X)    for i in range(X.shape[0]):        for j in range(X.shape[1]):            Z_rastrigin[i, j] = rastrigin([X[i, j], Y[i, j]])    # Ackley函数    Z_ackley = np.zeros_like(X)    for i in range(X.shape[0]):        for j in range(X.shape[1]):            Z_ackley[i, j] = ackley([X[i, j], Y[i, j]])    # Sphere函数    ax1 = fig.add_subplot(131, projection='3d')    surf1 = ax1.plot_surface(X, Y, Z_sphere, cmap='viridis', alpha=0.9)    ax1.set_title('Sphere函数地形', fontsize=14)    ax1.set_xlabel('x1')    ax1.set_ylabel('x2')    ax1.set_zlabel('f(x)')    plt.colorbar(surf1, ax=ax1, shrink=0.5)    # Rastrigin函数    ax2 = fig.add_subplot(132, projection='3d')    surf2 = ax2.plot_surface(X, Y, Z_rastrigin, cmap='plasma', alpha=0.9)    ax2.set_title('Rastrigin函数地形(多峰)', fontsize=14)    ax2.set_xlabel('x1')    ax2.set_ylabel('x2')    ax2.set_zlabel('f(x)')    plt.colorbar(surf2, ax=ax2, shrink=0.5)    # Ackley函数    ax3 = fig.add_subplot(133, projection='3d')    surf3 = ax3.plot_surface(X, Y, Z_ackley, cmap='magma', alpha=0.9)    ax3.set_title('Ackley函数地形', fontsize=14)    ax3.set_xlabel('x1')    ax3.set_ylabel('x2')    ax3.set_zlabel('f(x)')    plt.colorbar(surf3, ax=ax3, shrink=0.5)    plt.tight_layout()    plt.savefig('function_landscapes.png', dpi=300, bbox_inches='tight')    plt.show()def plot_strategy_animation():    """模拟搜索过程的动态图"""    np.random.seed(42)    # 生成二维搜索空间    x = np.linspace(-55200)    y = np.linspace(-55200)    X, Y = np.meshgrid(x, y)    # 计算Z值    Z = np.zeros_like(X)    for i in range(X.shape[0]):        for j in range(X.shape[1]):            Z[i, j] = rastrigin([X[i, j], Y[i, j]])    # 创建图形    fig = plt.figure(figsize=(156))    # 左图:等高线图    ax1 = fig.add_subplot(121)    contour = ax1.contourf(X, Y, Z, levels=50, cmap='viridis', alpha=0.8)    plt.colorbar(contour, ax=ax1)    ax1.set_title('Rastrigin函数等高线图', fontsize=14)    ax1.set_xlabel('x1')    ax1.set_ylabel('x2')    # 右图:3D图    ax2 = fig.add_subplot(122, projection='3d')    surf = ax2.plot_surface(X, Y, Z, cmap='viridis', alpha=0.8)    ax2.set_title('Rastrigin函数3D图', fontsize=14)    ax2.set_xlabel('x1')    ax2.set_ylabel('x2')    ax2.set_zlabel('f(x)')    # 模拟搜索轨迹    n_steps = 20    positions = np.random.uniform(-44, (n_steps, 2))    # 计算每个位置的高度    heights = np.array([rastrigin([p[0], p[1]]) for p in positions])    # 在等高线图上绘制搜索轨迹    ax1.plot(positions[:, 0], positions[:, 1], 'r.-', linewidth=2, markersize=10, label='搜索轨迹')    ax1.scatter(positions[00], positions[01], c='blue', s=100, marker='o', label='起点')    ax1.scatter(positions[-10], positions[-11], c='green', s=150, marker='*', label='终点')    ax1.legend()    # 在3D图上绘制搜索轨迹    ax2.plot(positions[:, 0], positions[:, 1], heights, 'r.-', linewidth=2, markersize=10)    ax2.scatter(positions[00], positions[01], heights[0], c='blue', s=100, marker='o')    ax2.scatter(positions[-10], positions[-11], heights[-1], c='green', s=150, marker='*')    plt.tight_layout()    plt.savefig('search_trajectory.png', dpi=300, bbox_inches='tight')    plt.show()def main():    """主函数"""    print("=" * 60)    print("自适应协同灰狼优化算法演示")    print("=" * 60)    # 示例1:求解Sphere函数(低维)    print("\n【示例1】求解Sphere函数(5维)")    dim = 5    acgwo = AdaptiveCooperativeGWO(sphere, dim, -5.125.12, max_iter=100, pop_size=30)    best_pos, best_score, convergence = acgwo.optimize()    print(f"最优解位置: {best_pos}")    print(f"最优函数值: {best_score:.2e}")    # 绘制收敛曲线    plt.figure(figsize=(105))    plt.subplot(121)    plt.plot(convergence, 'b-', linewidth=2)    plt.xlabel('迭代次数')    plt.ylabel('最优适应度值')    plt.title(f'Sphere函数收敛曲线\n最优值: {best_score:.2e}')    plt.yscale('log')    plt.grid(True, alpha=0.3)    # 示例2:求解Rastrigin函数    print("\n【示例2】求解Rastrigin函数(5维,多峰函数)")    acgwo2 = AdaptiveCooperativeGWO(rastrigin, dim, -5.125.12, max_iter=150, pop_size=40)    best_pos2, best_score2, convergence2 = acgwo2.optimize()    print(f"最优解位置: {best_pos2}")    print(f"最优函数值: {best_score2:.2e}")    plt.subplot(122)    plt.plot(convergence2, 'r-', linewidth=2)    plt.xlabel('迭代次数')    plt.ylabel('最优适应度值')    plt.title(f'Rastrigin函数收敛曲线\n最优值: {best_score2:.2e}')    plt.yscale('log')    plt.grid(True, alpha=0.3)    plt.tight_layout()    plt.savefig('basic_convergence.png', dpi=300, bbox_inches='tight')    plt.show()    # 绘制更多可视化    print("\n生成可视化图表...")    print("1. 绘制多函数收敛对比图...")    plot_convergence_comparison()    print("2. 绘制函数地形图...")    plot_3d_landscape()    print("3. 绘制搜索轨迹图...")    plot_strategy_animation()if __name__ == "__main__":    main()

六、应用前景

自适应协同灰狼优化算法不仅在测试函数上表现出色,在实际工程应用中也展现了巨大潜力:

入侵检测系统:应用于NSL-KDD数据集,检测准确率得到显著提高,满足复杂网络环境中高精度和实时性的需求。

机械设计优化:在焊接梁优化、压力容器优化、弹簧设计等经典机械优化问题上表现优异,有效解决约束优化问题。

机器人路径规划:能够快速找到最优路径,避开障碍物。

图像分割:提高图像分割的精度和效率。

大规模问题求解:在高维问题上,表现超越最先进方法 。

最新文章

随机文章

基本 文件 流程 错误 SQL 调试
  1. 请求信息 : 2026-02-28 18:06:24 HTTP/2.0 GET : https://f.mffb.com.cn/a/476988.html
  2. 运行时间 : 0.093809s [ 吞吐率:10.66req/s ] 内存消耗:4,651.13kb 文件加载:140
  3. 缓存信息 : 0 reads,0 writes
  4. 会话信息 : SESSION_ID=3f0cba809d445d0e98e440702ed7ca7e
  1. /yingpanguazai/ssd/ssd1/www/f.mffb.com.cn/public/index.php ( 0.79 KB )
  2. /yingpanguazai/ssd/ssd1/www/f.mffb.com.cn/vendor/autoload.php ( 0.17 KB )
  3. /yingpanguazai/ssd/ssd1/www/f.mffb.com.cn/vendor/composer/autoload_real.php ( 2.49 KB )
  4. /yingpanguazai/ssd/ssd1/www/f.mffb.com.cn/vendor/composer/platform_check.php ( 0.90 KB )
  5. /yingpanguazai/ssd/ssd1/www/f.mffb.com.cn/vendor/composer/ClassLoader.php ( 14.03 KB )
  6. /yingpanguazai/ssd/ssd1/www/f.mffb.com.cn/vendor/composer/autoload_static.php ( 4.90 KB )
  7. /yingpanguazai/ssd/ssd1/www/f.mffb.com.cn/vendor/topthink/think-helper/src/helper.php ( 8.34 KB )
  8. /yingpanguazai/ssd/ssd1/www/f.mffb.com.cn/vendor/topthink/think-validate/src/helper.php ( 2.19 KB )
  9. /yingpanguazai/ssd/ssd1/www/f.mffb.com.cn/vendor/topthink/think-orm/src/helper.php ( 1.47 KB )
  10. /yingpanguazai/ssd/ssd1/www/f.mffb.com.cn/vendor/topthink/think-orm/stubs/load_stubs.php ( 0.16 KB )
  11. /yingpanguazai/ssd/ssd1/www/f.mffb.com.cn/vendor/topthink/framework/src/think/Exception.php ( 1.69 KB )
  12. /yingpanguazai/ssd/ssd1/www/f.mffb.com.cn/vendor/topthink/think-container/src/Facade.php ( 2.71 KB )
  13. /yingpanguazai/ssd/ssd1/www/f.mffb.com.cn/vendor/symfony/deprecation-contracts/function.php ( 0.99 KB )
  14. /yingpanguazai/ssd/ssd1/www/f.mffb.com.cn/vendor/symfony/polyfill-mbstring/bootstrap.php ( 8.26 KB )
  15. /yingpanguazai/ssd/ssd1/www/f.mffb.com.cn/vendor/symfony/polyfill-mbstring/bootstrap80.php ( 9.78 KB )
  16. /yingpanguazai/ssd/ssd1/www/f.mffb.com.cn/vendor/symfony/var-dumper/Resources/functions/dump.php ( 1.49 KB )
  17. /yingpanguazai/ssd/ssd1/www/f.mffb.com.cn/vendor/topthink/think-dumper/src/helper.php ( 0.18 KB )
  18. /yingpanguazai/ssd/ssd1/www/f.mffb.com.cn/vendor/symfony/var-dumper/VarDumper.php ( 4.30 KB )
  19. /yingpanguazai/ssd/ssd1/www/f.mffb.com.cn/vendor/topthink/framework/src/think/App.php ( 15.30 KB )
  20. /yingpanguazai/ssd/ssd1/www/f.mffb.com.cn/vendor/topthink/think-container/src/Container.php ( 15.76 KB )
  21. /yingpanguazai/ssd/ssd1/www/f.mffb.com.cn/vendor/psr/container/src/ContainerInterface.php ( 1.02 KB )
  22. /yingpanguazai/ssd/ssd1/www/f.mffb.com.cn/app/provider.php ( 0.19 KB )
  23. /yingpanguazai/ssd/ssd1/www/f.mffb.com.cn/vendor/topthink/framework/src/think/Http.php ( 6.04 KB )
  24. /yingpanguazai/ssd/ssd1/www/f.mffb.com.cn/vendor/topthink/think-helper/src/helper/Str.php ( 7.29 KB )
  25. /yingpanguazai/ssd/ssd1/www/f.mffb.com.cn/vendor/topthink/framework/src/think/Env.php ( 4.68 KB )
  26. /yingpanguazai/ssd/ssd1/www/f.mffb.com.cn/app/common.php ( 0.03 KB )
  27. /yingpanguazai/ssd/ssd1/www/f.mffb.com.cn/vendor/topthink/framework/src/helper.php ( 18.78 KB )
  28. /yingpanguazai/ssd/ssd1/www/f.mffb.com.cn/vendor/topthink/framework/src/think/Config.php ( 5.54 KB )
  29. /yingpanguazai/ssd/ssd1/www/f.mffb.com.cn/config/app.php ( 0.95 KB )
  30. /yingpanguazai/ssd/ssd1/www/f.mffb.com.cn/config/cache.php ( 0.78 KB )
  31. /yingpanguazai/ssd/ssd1/www/f.mffb.com.cn/config/console.php ( 0.23 KB )
  32. /yingpanguazai/ssd/ssd1/www/f.mffb.com.cn/config/cookie.php ( 0.56 KB )
  33. /yingpanguazai/ssd/ssd1/www/f.mffb.com.cn/config/database.php ( 2.48 KB )
  34. /yingpanguazai/ssd/ssd1/www/f.mffb.com.cn/vendor/topthink/framework/src/think/facade/Env.php ( 1.67 KB )
  35. /yingpanguazai/ssd/ssd1/www/f.mffb.com.cn/config/filesystem.php ( 0.61 KB )
  36. /yingpanguazai/ssd/ssd1/www/f.mffb.com.cn/config/lang.php ( 0.91 KB )
  37. /yingpanguazai/ssd/ssd1/www/f.mffb.com.cn/config/log.php ( 1.35 KB )
  38. /yingpanguazai/ssd/ssd1/www/f.mffb.com.cn/config/middleware.php ( 0.19 KB )
  39. /yingpanguazai/ssd/ssd1/www/f.mffb.com.cn/config/route.php ( 1.89 KB )
  40. /yingpanguazai/ssd/ssd1/www/f.mffb.com.cn/config/session.php ( 0.57 KB )
  41. /yingpanguazai/ssd/ssd1/www/f.mffb.com.cn/config/trace.php ( 0.34 KB )
  42. /yingpanguazai/ssd/ssd1/www/f.mffb.com.cn/config/view.php ( 0.82 KB )
  43. /yingpanguazai/ssd/ssd1/www/f.mffb.com.cn/app/event.php ( 0.25 KB )
  44. /yingpanguazai/ssd/ssd1/www/f.mffb.com.cn/vendor/topthink/framework/src/think/Event.php ( 7.67 KB )
  45. /yingpanguazai/ssd/ssd1/www/f.mffb.com.cn/app/service.php ( 0.13 KB )
  46. /yingpanguazai/ssd/ssd1/www/f.mffb.com.cn/app/AppService.php ( 0.26 KB )
  47. /yingpanguazai/ssd/ssd1/www/f.mffb.com.cn/vendor/topthink/framework/src/think/Service.php ( 1.64 KB )
  48. /yingpanguazai/ssd/ssd1/www/f.mffb.com.cn/vendor/topthink/framework/src/think/Lang.php ( 7.35 KB )
  49. /yingpanguazai/ssd/ssd1/www/f.mffb.com.cn/vendor/topthink/framework/src/lang/zh-cn.php ( 13.70 KB )
  50. /yingpanguazai/ssd/ssd1/www/f.mffb.com.cn/vendor/topthink/framework/src/think/initializer/Error.php ( 3.31 KB )
  51. /yingpanguazai/ssd/ssd1/www/f.mffb.com.cn/vendor/topthink/framework/src/think/initializer/RegisterService.php ( 1.33 KB )
  52. /yingpanguazai/ssd/ssd1/www/f.mffb.com.cn/vendor/services.php ( 0.14 KB )
  53. /yingpanguazai/ssd/ssd1/www/f.mffb.com.cn/vendor/topthink/framework/src/think/service/PaginatorService.php ( 1.52 KB )
  54. /yingpanguazai/ssd/ssd1/www/f.mffb.com.cn/vendor/topthink/framework/src/think/service/ValidateService.php ( 0.99 KB )
  55. /yingpanguazai/ssd/ssd1/www/f.mffb.com.cn/vendor/topthink/framework/src/think/service/ModelService.php ( 2.04 KB )
  56. /yingpanguazai/ssd/ssd1/www/f.mffb.com.cn/vendor/topthink/think-trace/src/Service.php ( 0.77 KB )
  57. /yingpanguazai/ssd/ssd1/www/f.mffb.com.cn/vendor/topthink/framework/src/think/Middleware.php ( 6.72 KB )
  58. /yingpanguazai/ssd/ssd1/www/f.mffb.com.cn/vendor/topthink/framework/src/think/initializer/BootService.php ( 0.77 KB )
  59. /yingpanguazai/ssd/ssd1/www/f.mffb.com.cn/vendor/topthink/think-orm/src/Paginator.php ( 11.86 KB )
  60. /yingpanguazai/ssd/ssd1/www/f.mffb.com.cn/vendor/topthink/think-validate/src/Validate.php ( 63.20 KB )
  61. /yingpanguazai/ssd/ssd1/www/f.mffb.com.cn/vendor/topthink/think-orm/src/Model.php ( 23.55 KB )
  62. /yingpanguazai/ssd/ssd1/www/f.mffb.com.cn/vendor/topthink/think-orm/src/model/concern/Attribute.php ( 21.05 KB )
  63. /yingpanguazai/ssd/ssd1/www/f.mffb.com.cn/vendor/topthink/think-orm/src/model/concern/AutoWriteData.php ( 4.21 KB )
  64. /yingpanguazai/ssd/ssd1/www/f.mffb.com.cn/vendor/topthink/think-orm/src/model/concern/Conversion.php ( 6.44 KB )
  65. /yingpanguazai/ssd/ssd1/www/f.mffb.com.cn/vendor/topthink/think-orm/src/model/concern/DbConnect.php ( 5.16 KB )
  66. /yingpanguazai/ssd/ssd1/www/f.mffb.com.cn/vendor/topthink/think-orm/src/model/concern/ModelEvent.php ( 2.33 KB )
  67. /yingpanguazai/ssd/ssd1/www/f.mffb.com.cn/vendor/topthink/think-orm/src/model/concern/RelationShip.php ( 28.29 KB )
  68. /yingpanguazai/ssd/ssd1/www/f.mffb.com.cn/vendor/topthink/think-helper/src/contract/Arrayable.php ( 0.09 KB )
  69. /yingpanguazai/ssd/ssd1/www/f.mffb.com.cn/vendor/topthink/think-helper/src/contract/Jsonable.php ( 0.13 KB )
  70. /yingpanguazai/ssd/ssd1/www/f.mffb.com.cn/vendor/topthink/think-orm/src/model/contract/Modelable.php ( 0.09 KB )
  71. /yingpanguazai/ssd/ssd1/www/f.mffb.com.cn/vendor/topthink/framework/src/think/Db.php ( 2.88 KB )
  72. /yingpanguazai/ssd/ssd1/www/f.mffb.com.cn/vendor/topthink/think-orm/src/DbManager.php ( 8.52 KB )
  73. /yingpanguazai/ssd/ssd1/www/f.mffb.com.cn/vendor/topthink/framework/src/think/Log.php ( 6.28 KB )
  74. /yingpanguazai/ssd/ssd1/www/f.mffb.com.cn/vendor/topthink/framework/src/think/Manager.php ( 3.92 KB )
  75. /yingpanguazai/ssd/ssd1/www/f.mffb.com.cn/vendor/psr/log/src/LoggerTrait.php ( 2.69 KB )
  76. /yingpanguazai/ssd/ssd1/www/f.mffb.com.cn/vendor/psr/log/src/LoggerInterface.php ( 2.71 KB )
  77. /yingpanguazai/ssd/ssd1/www/f.mffb.com.cn/vendor/topthink/framework/src/think/Cache.php ( 4.92 KB )
  78. /yingpanguazai/ssd/ssd1/www/f.mffb.com.cn/vendor/psr/simple-cache/src/CacheInterface.php ( 4.71 KB )
  79. /yingpanguazai/ssd/ssd1/www/f.mffb.com.cn/vendor/topthink/think-helper/src/helper/Arr.php ( 16.63 KB )
  80. /yingpanguazai/ssd/ssd1/www/f.mffb.com.cn/vendor/topthink/framework/src/think/cache/driver/File.php ( 7.84 KB )
  81. /yingpanguazai/ssd/ssd1/www/f.mffb.com.cn/vendor/topthink/framework/src/think/cache/Driver.php ( 9.03 KB )
  82. /yingpanguazai/ssd/ssd1/www/f.mffb.com.cn/vendor/topthink/framework/src/think/contract/CacheHandlerInterface.php ( 1.99 KB )
  83. /yingpanguazai/ssd/ssd1/www/f.mffb.com.cn/app/Request.php ( 0.09 KB )
  84. /yingpanguazai/ssd/ssd1/www/f.mffb.com.cn/vendor/topthink/framework/src/think/Request.php ( 55.78 KB )
  85. /yingpanguazai/ssd/ssd1/www/f.mffb.com.cn/app/middleware.php ( 0.25 KB )
  86. /yingpanguazai/ssd/ssd1/www/f.mffb.com.cn/vendor/topthink/framework/src/think/Pipeline.php ( 2.61 KB )
  87. /yingpanguazai/ssd/ssd1/www/f.mffb.com.cn/vendor/topthink/think-trace/src/TraceDebug.php ( 3.40 KB )
  88. /yingpanguazai/ssd/ssd1/www/f.mffb.com.cn/vendor/topthink/framework/src/think/middleware/SessionInit.php ( 1.94 KB )
  89. /yingpanguazai/ssd/ssd1/www/f.mffb.com.cn/vendor/topthink/framework/src/think/Session.php ( 1.80 KB )
  90. /yingpanguazai/ssd/ssd1/www/f.mffb.com.cn/vendor/topthink/framework/src/think/session/driver/File.php ( 6.27 KB )
  91. /yingpanguazai/ssd/ssd1/www/f.mffb.com.cn/vendor/topthink/framework/src/think/contract/SessionHandlerInterface.php ( 0.87 KB )
  92. /yingpanguazai/ssd/ssd1/www/f.mffb.com.cn/vendor/topthink/framework/src/think/session/Store.php ( 7.12 KB )
  93. /yingpanguazai/ssd/ssd1/www/f.mffb.com.cn/vendor/topthink/framework/src/think/Route.php ( 23.73 KB )
  94. /yingpanguazai/ssd/ssd1/www/f.mffb.com.cn/vendor/topthink/framework/src/think/route/RuleName.php ( 5.75 KB )
  95. /yingpanguazai/ssd/ssd1/www/f.mffb.com.cn/vendor/topthink/framework/src/think/route/Domain.php ( 2.53 KB )
  96. /yingpanguazai/ssd/ssd1/www/f.mffb.com.cn/vendor/topthink/framework/src/think/route/RuleGroup.php ( 22.43 KB )
  97. /yingpanguazai/ssd/ssd1/www/f.mffb.com.cn/vendor/topthink/framework/src/think/route/Rule.php ( 26.95 KB )
  98. /yingpanguazai/ssd/ssd1/www/f.mffb.com.cn/vendor/topthink/framework/src/think/route/RuleItem.php ( 9.78 KB )
  99. /yingpanguazai/ssd/ssd1/www/f.mffb.com.cn/route/app.php ( 1.72 KB )
  100. /yingpanguazai/ssd/ssd1/www/f.mffb.com.cn/vendor/topthink/framework/src/think/facade/Route.php ( 4.70 KB )
  101. /yingpanguazai/ssd/ssd1/www/f.mffb.com.cn/vendor/topthink/framework/src/think/route/dispatch/Controller.php ( 4.74 KB )
  102. /yingpanguazai/ssd/ssd1/www/f.mffb.com.cn/vendor/topthink/framework/src/think/route/Dispatch.php ( 10.44 KB )
  103. /yingpanguazai/ssd/ssd1/www/f.mffb.com.cn/app/controller/Index.php ( 4.81 KB )
  104. /yingpanguazai/ssd/ssd1/www/f.mffb.com.cn/app/BaseController.php ( 2.05 KB )
  105. /yingpanguazai/ssd/ssd1/www/f.mffb.com.cn/vendor/topthink/think-orm/src/facade/Db.php ( 0.93 KB )
  106. /yingpanguazai/ssd/ssd1/www/f.mffb.com.cn/vendor/topthink/think-orm/src/db/connector/Mysql.php ( 5.44 KB )
  107. /yingpanguazai/ssd/ssd1/www/f.mffb.com.cn/vendor/topthink/think-orm/src/db/PDOConnection.php ( 52.47 KB )
  108. /yingpanguazai/ssd/ssd1/www/f.mffb.com.cn/vendor/topthink/think-orm/src/db/Connection.php ( 8.39 KB )
  109. /yingpanguazai/ssd/ssd1/www/f.mffb.com.cn/vendor/topthink/think-orm/src/db/ConnectionInterface.php ( 4.57 KB )
  110. /yingpanguazai/ssd/ssd1/www/f.mffb.com.cn/vendor/topthink/think-orm/src/db/builder/Mysql.php ( 16.58 KB )
  111. /yingpanguazai/ssd/ssd1/www/f.mffb.com.cn/vendor/topthink/think-orm/src/db/Builder.php ( 24.06 KB )
  112. /yingpanguazai/ssd/ssd1/www/f.mffb.com.cn/vendor/topthink/think-orm/src/db/BaseBuilder.php ( 27.50 KB )
  113. /yingpanguazai/ssd/ssd1/www/f.mffb.com.cn/vendor/topthink/think-orm/src/db/Query.php ( 15.71 KB )
  114. /yingpanguazai/ssd/ssd1/www/f.mffb.com.cn/vendor/topthink/think-orm/src/db/BaseQuery.php ( 45.13 KB )
  115. /yingpanguazai/ssd/ssd1/www/f.mffb.com.cn/vendor/topthink/think-orm/src/db/concern/TimeFieldQuery.php ( 7.43 KB )
  116. /yingpanguazai/ssd/ssd1/www/f.mffb.com.cn/vendor/topthink/think-orm/src/db/concern/AggregateQuery.php ( 3.26 KB )
  117. /yingpanguazai/ssd/ssd1/www/f.mffb.com.cn/vendor/topthink/think-orm/src/db/concern/ModelRelationQuery.php ( 20.07 KB )
  118. /yingpanguazai/ssd/ssd1/www/f.mffb.com.cn/vendor/topthink/think-orm/src/db/concern/ParamsBind.php ( 3.66 KB )
  119. /yingpanguazai/ssd/ssd1/www/f.mffb.com.cn/vendor/topthink/think-orm/src/db/concern/ResultOperation.php ( 7.01 KB )
  120. /yingpanguazai/ssd/ssd1/www/f.mffb.com.cn/vendor/topthink/think-orm/src/db/concern/WhereQuery.php ( 19.37 KB )
  121. /yingpanguazai/ssd/ssd1/www/f.mffb.com.cn/vendor/topthink/think-orm/src/db/concern/JoinAndViewQuery.php ( 7.11 KB )
  122. /yingpanguazai/ssd/ssd1/www/f.mffb.com.cn/vendor/topthink/think-orm/src/db/concern/TableFieldInfo.php ( 2.63 KB )
  123. /yingpanguazai/ssd/ssd1/www/f.mffb.com.cn/vendor/topthink/think-orm/src/db/concern/Transaction.php ( 2.77 KB )
  124. /yingpanguazai/ssd/ssd1/www/f.mffb.com.cn/vendor/topthink/framework/src/think/log/driver/File.php ( 5.96 KB )
  125. /yingpanguazai/ssd/ssd1/www/f.mffb.com.cn/vendor/topthink/framework/src/think/contract/LogHandlerInterface.php ( 0.86 KB )
  126. /yingpanguazai/ssd/ssd1/www/f.mffb.com.cn/vendor/topthink/framework/src/think/log/Channel.php ( 3.89 KB )
  127. /yingpanguazai/ssd/ssd1/www/f.mffb.com.cn/vendor/topthink/framework/src/think/event/LogRecord.php ( 1.02 KB )
  128. /yingpanguazai/ssd/ssd1/www/f.mffb.com.cn/vendor/topthink/think-helper/src/Collection.php ( 16.47 KB )
  129. /yingpanguazai/ssd/ssd1/www/f.mffb.com.cn/vendor/topthink/framework/src/think/facade/View.php ( 1.70 KB )
  130. /yingpanguazai/ssd/ssd1/www/f.mffb.com.cn/vendor/topthink/framework/src/think/View.php ( 4.39 KB )
  131. /yingpanguazai/ssd/ssd1/www/f.mffb.com.cn/vendor/topthink/framework/src/think/Response.php ( 8.81 KB )
  132. /yingpanguazai/ssd/ssd1/www/f.mffb.com.cn/vendor/topthink/framework/src/think/response/View.php ( 3.29 KB )
  133. /yingpanguazai/ssd/ssd1/www/f.mffb.com.cn/vendor/topthink/framework/src/think/Cookie.php ( 6.06 KB )
  134. /yingpanguazai/ssd/ssd1/www/f.mffb.com.cn/vendor/topthink/think-view/src/Think.php ( 8.38 KB )
  135. /yingpanguazai/ssd/ssd1/www/f.mffb.com.cn/vendor/topthink/framework/src/think/contract/TemplateHandlerInterface.php ( 1.60 KB )
  136. /yingpanguazai/ssd/ssd1/www/f.mffb.com.cn/vendor/topthink/think-template/src/Template.php ( 46.61 KB )
  137. /yingpanguazai/ssd/ssd1/www/f.mffb.com.cn/vendor/topthink/think-template/src/template/driver/File.php ( 2.41 KB )
  138. /yingpanguazai/ssd/ssd1/www/f.mffb.com.cn/vendor/topthink/think-template/src/template/contract/DriverInterface.php ( 0.86 KB )
  139. /yingpanguazai/ssd/ssd1/www/f.mffb.com.cn/runtime/temp/067d451b9a0c665040f3f1bdd3293d68.php ( 11.98 KB )
  140. /yingpanguazai/ssd/ssd1/www/f.mffb.com.cn/vendor/topthink/think-trace/src/Html.php ( 4.42 KB )
  1. CONNECT:[ UseTime:0.000358s ] mysql:host=127.0.0.1;port=3306;dbname=f_mffb;charset=utf8mb4
  2. SHOW FULL COLUMNS FROM `fenlei` [ RunTime:0.000824s ]
  3. SELECT * FROM `fenlei` WHERE `fid` = 0 [ RunTime:0.000331s ]
  4. SELECT * FROM `fenlei` WHERE `fid` = 63 [ RunTime:0.000279s ]
  5. SHOW FULL COLUMNS FROM `set` [ RunTime:0.000601s ]
  6. SELECT * FROM `set` [ RunTime:0.000233s ]
  7. SHOW FULL COLUMNS FROM `article` [ RunTime:0.000575s ]
  8. SELECT * FROM `article` WHERE `id` = 476988 LIMIT 1 [ RunTime:0.000547s ]
  9. UPDATE `article` SET `lasttime` = 1772273184 WHERE `id` = 476988 [ RunTime:0.007771s ]
  10. SELECT * FROM `fenlei` WHERE `id` = 66 LIMIT 1 [ RunTime:0.000775s ]
  11. SELECT * FROM `article` WHERE `id` < 476988 ORDER BY `id` DESC LIMIT 1 [ RunTime:0.002127s ]
  12. SELECT * FROM `article` WHERE `id` > 476988 ORDER BY `id` ASC LIMIT 1 [ RunTime:0.000395s ]
  13. SELECT * FROM `article` WHERE `id` < 476988 ORDER BY `id` DESC LIMIT 10 [ RunTime:0.001765s ]
  14. SELECT * FROM `article` WHERE `id` < 476988 ORDER BY `id` DESC LIMIT 10,10 [ RunTime:0.004376s ]
  15. SELECT * FROM `article` WHERE `id` < 476988 ORDER BY `id` DESC LIMIT 20,10 [ RunTime:0.007639s ]
0.095458s