当前位置:首页>python>Python-道格拉斯-普克算法

Python-道格拉斯-普克算法

  • 2026-03-26 09:09:03
Python-道格拉斯-普克算法
软件:VS Code
目标:假设数据库里有一条河流的10个坐标数据,地图缩小时不需要显示全部坐标,这个时候可以对河流进行简化
一、原理
1.基本概念
道格拉斯-普克算法(Douglas-Peucker algorithm)是一种用于简化折线(由一系列点组成的曲线)的经典算法。
它的核心目的是:在保持曲线整体形状特征的前提下,通过减少点的数量来降低数据的复杂度。该算法广泛应用于计算机图形学和数据压缩。
2.算法步骤
假设有一条由n个点组成的折线,设定简化的阈值为E:
1)连接首尾:在折线的起始点A和终止点B之间连一条直线段AB(作为基准线)。
2)找最远点: 遍历起始点和终止点之间的所有中间点,计算每个点到直线AB的垂直距离。找到这些点中距离直线AB最大的点,记为P,其距离为 dmax。
判断与比较:
如果 dmax≤   E: 说明该段折线上所有的点与基准线的偏差都很小,那么这段中间的点全部可以剔除,直接用直线AB代替。如果 dmax>    E:
 说明点P是一个重要的特征点,必须保留。此时以点P为界,将原折线分割成AP和PB两部分。
3)递归处理: 对分割出的两部分折线分别重复上述步骤1)-3),直到所有点都被处理完毕。
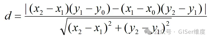
点到直线的距离可以由鞋带公式推导得到
3.举例说明算法实现过程
数据:P1(0,0), P2(1,1), P3(2,-1), P4(5,10), P5(6,9), P6(7,11), P7(10,0), P8(12,1), P9(14,-1), P10(15,0)
第一步
处理线段:[P1, P10]
直线方程:y=0
计算中间点到线段距离:
P2:1, P3:1, P4:10, P5:9, P6:11, P7:0, P8:1, P9:1
最远点:p6(d=11)
判断:dmaxp6>2,
结果:保留p6,分割成[p1,p6]和[p6,p10]
第二步
处理线段:[P1, P6]
直线方程:11x−7y=0
计算中间点到线段距离:
P2:0.31, P3:2.22, P4:1.15, P5:0.23
最远点:p3(d=2.22)
判断:dmaxp3>2
结果:保留p3,分割成[P1,P3] 和 [P3,P6]
第三步
处理线段:[P1,P3] 
直线方程:x+2y=0
计算中间点到线段距离:
P2:1.34
最远点:p2(d=1.34)
判断:dmaxp2<2
结果:去掉p2,该分支结束
第四步
处理线段:[p3,p6]
直线方程:12x−5y−29=0
计算中间点到线段距离:
P4:1.46, P5:0.15
最远点:p4(d=1.46)
判断:dmaxp4<2
结果:去掉p4,p5,该分支结束
第五步
处理线段:[P6, P10]
直线方程:11x+8y−165=0
计算中间点到线段距离:
P7:4.04, P8:1.84, P9:1.40
最远点:p7(d=4.04)
判断:dmaxp7>2
结果:保留p7,分割成[P6,P7] 和 [P7,P10]
第六步
处理线段:[P6,P7]
无中间点,该分支结束
第七步
处理线段:[P7,P10]
直线方程:y=0
计算中间点到线段距离:
P8:1, P9:1
最远点:p8或p9(d=1)
判断:dmaxp8或dmaxp9<2
结果:去掉p8和p9,该分支结束
4.算法实现
1)导入库
import pandas as pdimport numpy as np
2)读取数据
data = pd.read_csv("douglas_peucker.csv", encoding='utf-8')
3)设置阈值
eps = 2  # 阈值E设为 2,
4)如果是直线段则无需化简,所有点都需保留,所以keeppts的所有元素都为true
if len(data) > 2:    # 初始化保留标记,首尾两点默认保留    keeppts = [False] * len(data)    keeppts[0] = True    keeppts[len(data) - 1] = True    
5)根据栈递归,距离判断,保留距离直线的距离大于阈值的点
 zhongjiandian = [(0, len(data) - 1)]        while zhongjiandian:        startend = zhongjiandian.pop()                # 如果区间内没有中间点,跳过        if end - start < 2:            continue                    dmax = -1        farthestidx = -1                # 获取当前区间的起点和终点坐标        x1, y1 = float(data.iloc[start0]), float(data.iloc[start1])        x2, y2 = float(data.iloc[end0]), float(data.iloc[end1])                # 在当前区间内寻找最远点        for i in range(start + 1end):            x0, y0 = float(data.iloc[i, 0]), float(data.iloc[i, 1])                        #计算每个中间点到直线的距离            # 分子: |(x2-x1)(y1-y0) - (x1-x0)(y2-y1)|            fenzi = abs((x2 - x1) * (y1 - y0) - (x1 - x0) * (y2 - y1))            # 分母: sqrt((x2-x1)^2 + (y2-y1)^2)            fenmu = np.sqrt((x2 - x1)**2 + (y2 - y1)**2)                        # 计算距离(处理分母为0的极端情况)            dis = fenzi / fenmu if fenmu != 0 else 0                        # 记录本区间内的最远点            if dis > dmax:                dmax = dis                farthestidx = i                         if dmax > eps:         keeppts[farthestidx] = True  # 标记保留该特征点         # 递归分裂:将左侧区间和右侧区间分别压入栈中         zhongjiandian.append((start, farthestidx))          zhongjiandian.append((farthestidx, end)) 
6)根据keeppts的元素值判断哪些点需要保留
# 输出结果    print("简化后的节点顺序:")    for i in range(len(keeppts)):        if keeppts[i]:            print(f"P{i+1}{data.iloc[i, 0]}{data.iloc[i, 1]}")elif len(data) == 2:    print("就 2 个点,不用简化啦!")else:    print("坐标点个数不对!")
7)完整代码
import pandas as pdimport numpy as np# 1. 加载数据data = pd.read_csv("douglas_peucker.csv", encoding='utf-8')eps = 2  # 阈值E设为 2,if len(data) > 2:    # 初始化保留标记,首尾两点默认保留    keeppts = [False] * len(data)    keeppts[0] = True    keeppts[len(data) - 1] = True        # 使用栈模拟递归,存储待处理的区间 (start_index, end_index)    zhongjiandian = [(0len(data) - 1)]        while zhongjiandian:        start, end = zhongjiandian.pop()                # 如果区间内没有中间点,跳过        if end - start < 2:            continue                    dmax = -1        farthestidx = -1                # 获取当前区间的起点和终点坐标        x1, y1 = float(data.iloc[start, 0]), float(data.iloc[start, 1])        x2, y2 = float(data.iloc[end, 0]), float(data.iloc[end, 1])                # 在当前区间内寻找最远点        for i in range(start + 1, end):            x0, y0 = float(data.iloc[i, 0]), float(data.iloc[i, 1])                        #计算每个中间点到直线的距离            # 分子: |(x2-x1)(y1-y0) - (x1-x0)(y2-y1)|            fenzi = abs((x2 - x1) * (y1 - y0) - (x1 - x0) * (y2 - y1))            # 分母: sqrt((x2-x1)^2 + (y2-y1)^2)            fenmu = np.sqrt((x2 - x1)**2 + (y2 - y1)**2)                        # 计算距离(处理分母为0的极端情况)            dis = fenzi / fenmu if fenmu != 0 else 0                        # 记录本区间内的最远点            if dis > dmax:                dmax = dis                farthestidx = i                # 找完整个区间的最远点后,再与阈值比较         if dmax > eps:            keeppts[farthestidx] = True  # 标记保留该特征点            # 递归分裂:将左侧区间和右侧区间分别压入栈中            zhongjiandian.append((start, farthestidx))             zhongjiandian.append((farthestidx, end))       # 输出结果    print("简化后的节点顺序:")    for i in range(len(keeppts)):        if keeppts[i]:            print(f"P{i+1}{data.iloc[i, 0]}{data.iloc[i, 1]}")elif len(data) == 2:    print("就 2 个点,不用简化啦!")else:    print("坐标点个数不对!")
8)效果

最新文章

随机文章

基本 文件 流程 错误 SQL 调试
  1. 请求信息 : 2026-03-27 11:40:35 HTTP/2.0 GET : https://f.mffb.com.cn/a/481501.html
  2. 运行时间 : 0.120985s [ 吞吐率:8.27req/s ] 内存消耗:4,623.55kb 文件加载:140
  3. 缓存信息 : 0 reads,0 writes
  4. 会话信息 : SESSION_ID=8d17b2c98bb5a4ad7f44713fe95f0e9e
  1. /yingpanguazai/ssd/ssd1/www/f.mffb.com.cn/public/index.php ( 0.79 KB )
  2. /yingpanguazai/ssd/ssd1/www/f.mffb.com.cn/vendor/autoload.php ( 0.17 KB )
  3. /yingpanguazai/ssd/ssd1/www/f.mffb.com.cn/vendor/composer/autoload_real.php ( 2.49 KB )
  4. /yingpanguazai/ssd/ssd1/www/f.mffb.com.cn/vendor/composer/platform_check.php ( 0.90 KB )
  5. /yingpanguazai/ssd/ssd1/www/f.mffb.com.cn/vendor/composer/ClassLoader.php ( 14.03 KB )
  6. /yingpanguazai/ssd/ssd1/www/f.mffb.com.cn/vendor/composer/autoload_static.php ( 4.90 KB )
  7. /yingpanguazai/ssd/ssd1/www/f.mffb.com.cn/vendor/topthink/think-helper/src/helper.php ( 8.34 KB )
  8. /yingpanguazai/ssd/ssd1/www/f.mffb.com.cn/vendor/topthink/think-validate/src/helper.php ( 2.19 KB )
  9. /yingpanguazai/ssd/ssd1/www/f.mffb.com.cn/vendor/topthink/think-orm/src/helper.php ( 1.47 KB )
  10. /yingpanguazai/ssd/ssd1/www/f.mffb.com.cn/vendor/topthink/think-orm/stubs/load_stubs.php ( 0.16 KB )
  11. /yingpanguazai/ssd/ssd1/www/f.mffb.com.cn/vendor/topthink/framework/src/think/Exception.php ( 1.69 KB )
  12. /yingpanguazai/ssd/ssd1/www/f.mffb.com.cn/vendor/topthink/think-container/src/Facade.php ( 2.71 KB )
  13. /yingpanguazai/ssd/ssd1/www/f.mffb.com.cn/vendor/symfony/deprecation-contracts/function.php ( 0.99 KB )
  14. /yingpanguazai/ssd/ssd1/www/f.mffb.com.cn/vendor/symfony/polyfill-mbstring/bootstrap.php ( 8.26 KB )
  15. /yingpanguazai/ssd/ssd1/www/f.mffb.com.cn/vendor/symfony/polyfill-mbstring/bootstrap80.php ( 9.78 KB )
  16. /yingpanguazai/ssd/ssd1/www/f.mffb.com.cn/vendor/symfony/var-dumper/Resources/functions/dump.php ( 1.49 KB )
  17. /yingpanguazai/ssd/ssd1/www/f.mffb.com.cn/vendor/topthink/think-dumper/src/helper.php ( 0.18 KB )
  18. /yingpanguazai/ssd/ssd1/www/f.mffb.com.cn/vendor/symfony/var-dumper/VarDumper.php ( 4.30 KB )
  19. /yingpanguazai/ssd/ssd1/www/f.mffb.com.cn/vendor/topthink/framework/src/think/App.php ( 15.30 KB )
  20. /yingpanguazai/ssd/ssd1/www/f.mffb.com.cn/vendor/topthink/think-container/src/Container.php ( 15.76 KB )
  21. /yingpanguazai/ssd/ssd1/www/f.mffb.com.cn/vendor/psr/container/src/ContainerInterface.php ( 1.02 KB )
  22. /yingpanguazai/ssd/ssd1/www/f.mffb.com.cn/app/provider.php ( 0.19 KB )
  23. /yingpanguazai/ssd/ssd1/www/f.mffb.com.cn/vendor/topthink/framework/src/think/Http.php ( 6.04 KB )
  24. /yingpanguazai/ssd/ssd1/www/f.mffb.com.cn/vendor/topthink/think-helper/src/helper/Str.php ( 7.29 KB )
  25. /yingpanguazai/ssd/ssd1/www/f.mffb.com.cn/vendor/topthink/framework/src/think/Env.php ( 4.68 KB )
  26. /yingpanguazai/ssd/ssd1/www/f.mffb.com.cn/app/common.php ( 0.03 KB )
  27. /yingpanguazai/ssd/ssd1/www/f.mffb.com.cn/vendor/topthink/framework/src/helper.php ( 18.78 KB )
  28. /yingpanguazai/ssd/ssd1/www/f.mffb.com.cn/vendor/topthink/framework/src/think/Config.php ( 5.54 KB )
  29. /yingpanguazai/ssd/ssd1/www/f.mffb.com.cn/config/app.php ( 0.95 KB )
  30. /yingpanguazai/ssd/ssd1/www/f.mffb.com.cn/config/cache.php ( 0.78 KB )
  31. /yingpanguazai/ssd/ssd1/www/f.mffb.com.cn/config/console.php ( 0.23 KB )
  32. /yingpanguazai/ssd/ssd1/www/f.mffb.com.cn/config/cookie.php ( 0.56 KB )
  33. /yingpanguazai/ssd/ssd1/www/f.mffb.com.cn/config/database.php ( 2.48 KB )
  34. /yingpanguazai/ssd/ssd1/www/f.mffb.com.cn/vendor/topthink/framework/src/think/facade/Env.php ( 1.67 KB )
  35. /yingpanguazai/ssd/ssd1/www/f.mffb.com.cn/config/filesystem.php ( 0.61 KB )
  36. /yingpanguazai/ssd/ssd1/www/f.mffb.com.cn/config/lang.php ( 0.91 KB )
  37. /yingpanguazai/ssd/ssd1/www/f.mffb.com.cn/config/log.php ( 1.35 KB )
  38. /yingpanguazai/ssd/ssd1/www/f.mffb.com.cn/config/middleware.php ( 0.19 KB )
  39. /yingpanguazai/ssd/ssd1/www/f.mffb.com.cn/config/route.php ( 1.89 KB )
  40. /yingpanguazai/ssd/ssd1/www/f.mffb.com.cn/config/session.php ( 0.57 KB )
  41. /yingpanguazai/ssd/ssd1/www/f.mffb.com.cn/config/trace.php ( 0.34 KB )
  42. /yingpanguazai/ssd/ssd1/www/f.mffb.com.cn/config/view.php ( 0.82 KB )
  43. /yingpanguazai/ssd/ssd1/www/f.mffb.com.cn/app/event.php ( 0.25 KB )
  44. /yingpanguazai/ssd/ssd1/www/f.mffb.com.cn/vendor/topthink/framework/src/think/Event.php ( 7.67 KB )
  45. /yingpanguazai/ssd/ssd1/www/f.mffb.com.cn/app/service.php ( 0.13 KB )
  46. /yingpanguazai/ssd/ssd1/www/f.mffb.com.cn/app/AppService.php ( 0.26 KB )
  47. /yingpanguazai/ssd/ssd1/www/f.mffb.com.cn/vendor/topthink/framework/src/think/Service.php ( 1.64 KB )
  48. /yingpanguazai/ssd/ssd1/www/f.mffb.com.cn/vendor/topthink/framework/src/think/Lang.php ( 7.35 KB )
  49. /yingpanguazai/ssd/ssd1/www/f.mffb.com.cn/vendor/topthink/framework/src/lang/zh-cn.php ( 13.70 KB )
  50. /yingpanguazai/ssd/ssd1/www/f.mffb.com.cn/vendor/topthink/framework/src/think/initializer/Error.php ( 3.31 KB )
  51. /yingpanguazai/ssd/ssd1/www/f.mffb.com.cn/vendor/topthink/framework/src/think/initializer/RegisterService.php ( 1.33 KB )
  52. /yingpanguazai/ssd/ssd1/www/f.mffb.com.cn/vendor/services.php ( 0.14 KB )
  53. /yingpanguazai/ssd/ssd1/www/f.mffb.com.cn/vendor/topthink/framework/src/think/service/PaginatorService.php ( 1.52 KB )
  54. /yingpanguazai/ssd/ssd1/www/f.mffb.com.cn/vendor/topthink/framework/src/think/service/ValidateService.php ( 0.99 KB )
  55. /yingpanguazai/ssd/ssd1/www/f.mffb.com.cn/vendor/topthink/framework/src/think/service/ModelService.php ( 2.04 KB )
  56. /yingpanguazai/ssd/ssd1/www/f.mffb.com.cn/vendor/topthink/think-trace/src/Service.php ( 0.77 KB )
  57. /yingpanguazai/ssd/ssd1/www/f.mffb.com.cn/vendor/topthink/framework/src/think/Middleware.php ( 6.72 KB )
  58. /yingpanguazai/ssd/ssd1/www/f.mffb.com.cn/vendor/topthink/framework/src/think/initializer/BootService.php ( 0.77 KB )
  59. /yingpanguazai/ssd/ssd1/www/f.mffb.com.cn/vendor/topthink/think-orm/src/Paginator.php ( 11.86 KB )
  60. /yingpanguazai/ssd/ssd1/www/f.mffb.com.cn/vendor/topthink/think-validate/src/Validate.php ( 63.20 KB )
  61. /yingpanguazai/ssd/ssd1/www/f.mffb.com.cn/vendor/topthink/think-orm/src/Model.php ( 23.55 KB )
  62. /yingpanguazai/ssd/ssd1/www/f.mffb.com.cn/vendor/topthink/think-orm/src/model/concern/Attribute.php ( 21.05 KB )
  63. /yingpanguazai/ssd/ssd1/www/f.mffb.com.cn/vendor/topthink/think-orm/src/model/concern/AutoWriteData.php ( 4.21 KB )
  64. /yingpanguazai/ssd/ssd1/www/f.mffb.com.cn/vendor/topthink/think-orm/src/model/concern/Conversion.php ( 6.44 KB )
  65. /yingpanguazai/ssd/ssd1/www/f.mffb.com.cn/vendor/topthink/think-orm/src/model/concern/DbConnect.php ( 5.16 KB )
  66. /yingpanguazai/ssd/ssd1/www/f.mffb.com.cn/vendor/topthink/think-orm/src/model/concern/ModelEvent.php ( 2.33 KB )
  67. /yingpanguazai/ssd/ssd1/www/f.mffb.com.cn/vendor/topthink/think-orm/src/model/concern/RelationShip.php ( 28.29 KB )
  68. /yingpanguazai/ssd/ssd1/www/f.mffb.com.cn/vendor/topthink/think-helper/src/contract/Arrayable.php ( 0.09 KB )
  69. /yingpanguazai/ssd/ssd1/www/f.mffb.com.cn/vendor/topthink/think-helper/src/contract/Jsonable.php ( 0.13 KB )
  70. /yingpanguazai/ssd/ssd1/www/f.mffb.com.cn/vendor/topthink/think-orm/src/model/contract/Modelable.php ( 0.09 KB )
  71. /yingpanguazai/ssd/ssd1/www/f.mffb.com.cn/vendor/topthink/framework/src/think/Db.php ( 2.88 KB )
  72. /yingpanguazai/ssd/ssd1/www/f.mffb.com.cn/vendor/topthink/think-orm/src/DbManager.php ( 8.52 KB )
  73. /yingpanguazai/ssd/ssd1/www/f.mffb.com.cn/vendor/topthink/framework/src/think/Log.php ( 6.28 KB )
  74. /yingpanguazai/ssd/ssd1/www/f.mffb.com.cn/vendor/topthink/framework/src/think/Manager.php ( 3.92 KB )
  75. /yingpanguazai/ssd/ssd1/www/f.mffb.com.cn/vendor/psr/log/src/LoggerTrait.php ( 2.69 KB )
  76. /yingpanguazai/ssd/ssd1/www/f.mffb.com.cn/vendor/psr/log/src/LoggerInterface.php ( 2.71 KB )
  77. /yingpanguazai/ssd/ssd1/www/f.mffb.com.cn/vendor/topthink/framework/src/think/Cache.php ( 4.92 KB )
  78. /yingpanguazai/ssd/ssd1/www/f.mffb.com.cn/vendor/psr/simple-cache/src/CacheInterface.php ( 4.71 KB )
  79. /yingpanguazai/ssd/ssd1/www/f.mffb.com.cn/vendor/topthink/think-helper/src/helper/Arr.php ( 16.63 KB )
  80. /yingpanguazai/ssd/ssd1/www/f.mffb.com.cn/vendor/topthink/framework/src/think/cache/driver/File.php ( 7.84 KB )
  81. /yingpanguazai/ssd/ssd1/www/f.mffb.com.cn/vendor/topthink/framework/src/think/cache/Driver.php ( 9.03 KB )
  82. /yingpanguazai/ssd/ssd1/www/f.mffb.com.cn/vendor/topthink/framework/src/think/contract/CacheHandlerInterface.php ( 1.99 KB )
  83. /yingpanguazai/ssd/ssd1/www/f.mffb.com.cn/app/Request.php ( 0.09 KB )
  84. /yingpanguazai/ssd/ssd1/www/f.mffb.com.cn/vendor/topthink/framework/src/think/Request.php ( 55.78 KB )
  85. /yingpanguazai/ssd/ssd1/www/f.mffb.com.cn/app/middleware.php ( 0.25 KB )
  86. /yingpanguazai/ssd/ssd1/www/f.mffb.com.cn/vendor/topthink/framework/src/think/Pipeline.php ( 2.61 KB )
  87. /yingpanguazai/ssd/ssd1/www/f.mffb.com.cn/vendor/topthink/think-trace/src/TraceDebug.php ( 3.40 KB )
  88. /yingpanguazai/ssd/ssd1/www/f.mffb.com.cn/vendor/topthink/framework/src/think/middleware/SessionInit.php ( 1.94 KB )
  89. /yingpanguazai/ssd/ssd1/www/f.mffb.com.cn/vendor/topthink/framework/src/think/Session.php ( 1.80 KB )
  90. /yingpanguazai/ssd/ssd1/www/f.mffb.com.cn/vendor/topthink/framework/src/think/session/driver/File.php ( 6.27 KB )
  91. /yingpanguazai/ssd/ssd1/www/f.mffb.com.cn/vendor/topthink/framework/src/think/contract/SessionHandlerInterface.php ( 0.87 KB )
  92. /yingpanguazai/ssd/ssd1/www/f.mffb.com.cn/vendor/topthink/framework/src/think/session/Store.php ( 7.12 KB )
  93. /yingpanguazai/ssd/ssd1/www/f.mffb.com.cn/vendor/topthink/framework/src/think/Route.php ( 23.73 KB )
  94. /yingpanguazai/ssd/ssd1/www/f.mffb.com.cn/vendor/topthink/framework/src/think/route/RuleName.php ( 5.75 KB )
  95. /yingpanguazai/ssd/ssd1/www/f.mffb.com.cn/vendor/topthink/framework/src/think/route/Domain.php ( 2.53 KB )
  96. /yingpanguazai/ssd/ssd1/www/f.mffb.com.cn/vendor/topthink/framework/src/think/route/RuleGroup.php ( 22.43 KB )
  97. /yingpanguazai/ssd/ssd1/www/f.mffb.com.cn/vendor/topthink/framework/src/think/route/Rule.php ( 26.95 KB )
  98. /yingpanguazai/ssd/ssd1/www/f.mffb.com.cn/vendor/topthink/framework/src/think/route/RuleItem.php ( 9.78 KB )
  99. /yingpanguazai/ssd/ssd1/www/f.mffb.com.cn/route/app.php ( 1.72 KB )
  100. /yingpanguazai/ssd/ssd1/www/f.mffb.com.cn/vendor/topthink/framework/src/think/facade/Route.php ( 4.70 KB )
  101. /yingpanguazai/ssd/ssd1/www/f.mffb.com.cn/vendor/topthink/framework/src/think/route/dispatch/Controller.php ( 4.74 KB )
  102. /yingpanguazai/ssd/ssd1/www/f.mffb.com.cn/vendor/topthink/framework/src/think/route/Dispatch.php ( 10.44 KB )
  103. /yingpanguazai/ssd/ssd1/www/f.mffb.com.cn/app/controller/Index.php ( 4.81 KB )
  104. /yingpanguazai/ssd/ssd1/www/f.mffb.com.cn/app/BaseController.php ( 2.05 KB )
  105. /yingpanguazai/ssd/ssd1/www/f.mffb.com.cn/vendor/topthink/think-orm/src/facade/Db.php ( 0.93 KB )
  106. /yingpanguazai/ssd/ssd1/www/f.mffb.com.cn/vendor/topthink/think-orm/src/db/connector/Mysql.php ( 5.44 KB )
  107. /yingpanguazai/ssd/ssd1/www/f.mffb.com.cn/vendor/topthink/think-orm/src/db/PDOConnection.php ( 52.47 KB )
  108. /yingpanguazai/ssd/ssd1/www/f.mffb.com.cn/vendor/topthink/think-orm/src/db/Connection.php ( 8.39 KB )
  109. /yingpanguazai/ssd/ssd1/www/f.mffb.com.cn/vendor/topthink/think-orm/src/db/ConnectionInterface.php ( 4.57 KB )
  110. /yingpanguazai/ssd/ssd1/www/f.mffb.com.cn/vendor/topthink/think-orm/src/db/builder/Mysql.php ( 16.58 KB )
  111. /yingpanguazai/ssd/ssd1/www/f.mffb.com.cn/vendor/topthink/think-orm/src/db/Builder.php ( 24.06 KB )
  112. /yingpanguazai/ssd/ssd1/www/f.mffb.com.cn/vendor/topthink/think-orm/src/db/BaseBuilder.php ( 27.50 KB )
  113. /yingpanguazai/ssd/ssd1/www/f.mffb.com.cn/vendor/topthink/think-orm/src/db/Query.php ( 15.71 KB )
  114. /yingpanguazai/ssd/ssd1/www/f.mffb.com.cn/vendor/topthink/think-orm/src/db/BaseQuery.php ( 45.13 KB )
  115. /yingpanguazai/ssd/ssd1/www/f.mffb.com.cn/vendor/topthink/think-orm/src/db/concern/TimeFieldQuery.php ( 7.43 KB )
  116. /yingpanguazai/ssd/ssd1/www/f.mffb.com.cn/vendor/topthink/think-orm/src/db/concern/AggregateQuery.php ( 3.26 KB )
  117. /yingpanguazai/ssd/ssd1/www/f.mffb.com.cn/vendor/topthink/think-orm/src/db/concern/ModelRelationQuery.php ( 20.07 KB )
  118. /yingpanguazai/ssd/ssd1/www/f.mffb.com.cn/vendor/topthink/think-orm/src/db/concern/ParamsBind.php ( 3.66 KB )
  119. /yingpanguazai/ssd/ssd1/www/f.mffb.com.cn/vendor/topthink/think-orm/src/db/concern/ResultOperation.php ( 7.01 KB )
  120. /yingpanguazai/ssd/ssd1/www/f.mffb.com.cn/vendor/topthink/think-orm/src/db/concern/WhereQuery.php ( 19.37 KB )
  121. /yingpanguazai/ssd/ssd1/www/f.mffb.com.cn/vendor/topthink/think-orm/src/db/concern/JoinAndViewQuery.php ( 7.11 KB )
  122. /yingpanguazai/ssd/ssd1/www/f.mffb.com.cn/vendor/topthink/think-orm/src/db/concern/TableFieldInfo.php ( 2.63 KB )
  123. /yingpanguazai/ssd/ssd1/www/f.mffb.com.cn/vendor/topthink/think-orm/src/db/concern/Transaction.php ( 2.77 KB )
  124. /yingpanguazai/ssd/ssd1/www/f.mffb.com.cn/vendor/topthink/framework/src/think/log/driver/File.php ( 5.96 KB )
  125. /yingpanguazai/ssd/ssd1/www/f.mffb.com.cn/vendor/topthink/framework/src/think/contract/LogHandlerInterface.php ( 0.86 KB )
  126. /yingpanguazai/ssd/ssd1/www/f.mffb.com.cn/vendor/topthink/framework/src/think/log/Channel.php ( 3.89 KB )
  127. /yingpanguazai/ssd/ssd1/www/f.mffb.com.cn/vendor/topthink/framework/src/think/event/LogRecord.php ( 1.02 KB )
  128. /yingpanguazai/ssd/ssd1/www/f.mffb.com.cn/vendor/topthink/think-helper/src/Collection.php ( 16.47 KB )
  129. /yingpanguazai/ssd/ssd1/www/f.mffb.com.cn/vendor/topthink/framework/src/think/facade/View.php ( 1.70 KB )
  130. /yingpanguazai/ssd/ssd1/www/f.mffb.com.cn/vendor/topthink/framework/src/think/View.php ( 4.39 KB )
  131. /yingpanguazai/ssd/ssd1/www/f.mffb.com.cn/vendor/topthink/framework/src/think/Response.php ( 8.81 KB )
  132. /yingpanguazai/ssd/ssd1/www/f.mffb.com.cn/vendor/topthink/framework/src/think/response/View.php ( 3.29 KB )
  133. /yingpanguazai/ssd/ssd1/www/f.mffb.com.cn/vendor/topthink/framework/src/think/Cookie.php ( 6.06 KB )
  134. /yingpanguazai/ssd/ssd1/www/f.mffb.com.cn/vendor/topthink/think-view/src/Think.php ( 8.38 KB )
  135. /yingpanguazai/ssd/ssd1/www/f.mffb.com.cn/vendor/topthink/framework/src/think/contract/TemplateHandlerInterface.php ( 1.60 KB )
  136. /yingpanguazai/ssd/ssd1/www/f.mffb.com.cn/vendor/topthink/think-template/src/Template.php ( 46.61 KB )
  137. /yingpanguazai/ssd/ssd1/www/f.mffb.com.cn/vendor/topthink/think-template/src/template/driver/File.php ( 2.41 KB )
  138. /yingpanguazai/ssd/ssd1/www/f.mffb.com.cn/vendor/topthink/think-template/src/template/contract/DriverInterface.php ( 0.86 KB )
  139. /yingpanguazai/ssd/ssd1/www/f.mffb.com.cn/runtime/temp/067d451b9a0c665040f3f1bdd3293d68.php ( 11.98 KB )
  140. /yingpanguazai/ssd/ssd1/www/f.mffb.com.cn/vendor/topthink/think-trace/src/Html.php ( 4.42 KB )
  1. CONNECT:[ UseTime:0.000653s ] mysql:host=127.0.0.1;port=3306;dbname=f_mffb;charset=utf8mb4
  2. SHOW FULL COLUMNS FROM `fenlei` [ RunTime:0.000775s ]
  3. SELECT * FROM `fenlei` WHERE `fid` = 0 [ RunTime:0.000358s ]
  4. SELECT * FROM `fenlei` WHERE `fid` = 63 [ RunTime:0.000318s ]
  5. SHOW FULL COLUMNS FROM `set` [ RunTime:0.000600s ]
  6. SELECT * FROM `set` [ RunTime:0.000280s ]
  7. SHOW FULL COLUMNS FROM `article` [ RunTime:0.000625s ]
  8. SELECT * FROM `article` WHERE `id` = 481501 LIMIT 1 [ RunTime:0.000530s ]
  9. UPDATE `article` SET `lasttime` = 1774582835 WHERE `id` = 481501 [ RunTime:0.010383s ]
  10. SELECT * FROM `fenlei` WHERE `id` = 66 LIMIT 1 [ RunTime:0.000419s ]
  11. SELECT * FROM `article` WHERE `id` < 481501 ORDER BY `id` DESC LIMIT 1 [ RunTime:0.000698s ]
  12. SELECT * FROM `article` WHERE `id` > 481501 ORDER BY `id` ASC LIMIT 1 [ RunTime:0.000699s ]
  13. SELECT * FROM `article` WHERE `id` < 481501 ORDER BY `id` DESC LIMIT 10 [ RunTime:0.001151s ]
  14. SELECT * FROM `article` WHERE `id` < 481501 ORDER BY `id` DESC LIMIT 10,10 [ RunTime:0.001216s ]
  15. SELECT * FROM `article` WHERE `id` < 481501 ORDER BY `id` DESC LIMIT 20,10 [ RunTime:0.003611s ]
0.123507s