
上次笔记,完成了第十五章Numpy的常见运算的15.3部分,承接15.2“Numpy广播原则”的部分,练习了如何使用Numpy进行统计运算。
今天继续挑战第十五章,目标是把整个第十五章结束。具体内容包括:
15.4 Numpy库中的常见函数
练习Q15-1 给定一元高斯函数,给出固定参数值,用Numpy和matplotlib可视化函数图像(线图)。
练习Q15-2 给定二元高斯函数,用Numpy和matplotlib可视化函数图像(三维曲面图)。
练习Q15-3 给出二元高斯分布的概率密度函数,给出特定参数值,用Numpy和matplotlib可视化函数图像(等高线图)。
--
15.4 Numpy库中的常见函数
1️⃣自定义函数的代码:
import numpy as npimport matplotlib.pyplot as plt# 自定义可视化函数def visualize_fx(x_array, f_array, title, step = False):fig, ax = plt.subplots(figsize = (5,5))ax.plot([-5,5],[-5,5], c = 'r', ls = '--', lw = 0.5)if step: # 使用“步长”绘图ax.step(x_array, f_array)else: # 使用“光滑的点”绘图ax.plot(x_array, f_array)ax.set_xlim(-5, 5)ax.set_ylim(-5, 5)ax.axvline(0, c = 'k')ax.axhline(0, c = 'k')ax.set_xticks(np.arange(-5, 5+1))ax.set_yticks(np.arange(-5, 5+1))ax.set_xlabel('x')ax.set_ylabel('f(x)')plt.grid(True)ax.set_aspect('equal', adjustable='box')fig.savefig(title + '.svg', format='svg')
调用函数的代码:
# 幂函数,p = 2x_array = np.linspace(-5,5,1001)f_array = np.power(x_array, 2)visualize_fx(x_array, f_array, '幂函数_p=2')# 幂函数,p = 3f_array = np.power(x_array, 3)visualize_fx(x_array, f_array, '幂函数_p=3')
2️⃣可视化结果(示例)
1. 幂函数,p=2:

2. 幂函数,p=3:

3️⃣特殊注意点:
(1)部分程序根据实际需求,需要使用到“step方法”(这部分在主体自定义函数中,已经用了“if语句”来判断是否需要,因此避免了后续调用函数时再进行判断的的麻烦):

(2)部分程序需要设置某些特殊点为“nan”,或者设置取数范围,以免Numpy报错,或不美观:


--
学完15.4,感觉像是刚好热了个身~
那么趁热打铁,马上来三道练习题,巩固一下第十五章Numpy运算的知识:
--
练习Q15-1 给定一元高斯函数,给出固定参数值,用Numpy和matplotlib可视化函数图像(线图)。

1️⃣思考过程及#完整代码:
# 练习Q15-1 给定一元高斯函数,给出固定参数值,用Numpy和matplotlib可视化函数图像(线图)。# 以下是AI给我思考过程:# === 步骤1: 导入必要的库 ===import numpy as np # 计算import matplotlib.pyplot as plt # 绘图# === 步骤2: 定义函数参数 ===# 根据题目,参数值为:a=1, b=2, c=1 (题目给定的)a = 1b = 2c = 1# === 步骤3: 创建x轴数据 ===# 思考:使用什么“工具”?(.linspace())# 我们需要在哪个范围内采样x值?(-6, 6)# 取多少个点比较合适?(121)x_array = np.linspace(-6, 6, 121)# === 步骤4: 计算y轴数据 ===# 这是最关键的一步!需要将数学公式转换为NumPy代码# 公式:f(x) = a * exp(-(x - b)² / (2 * c²))# 分步计算(帮助理解):# 1. 先计算 (x - b)diff = x_array - b# 2. 计算 (x - b)²diff_squared = diff ** 2 # 【填上正确的幂次】# 3. 计算分母 2 * c²denominator = 2 * (c ** 2 ) # 【填上正确的幂次】# 4. 计算指数部分:-diff_squared / denominatorexponent = -diff_squared / denominator# 5. 计算整个函数值f_x_array = a * np.exp(exponent) # 【填上正确的NumPy函数(.exp())】# 注意:.exp()这个函数表示以 e(自然常数)为底数,x为指数的幂运算。# 也可以一步完成(挑战!):# f_x_array = a * np.exp(-((x_array - b) ** 2 ) / (2 * c ** 2 ))# === 步骤5: 创建图形 ===# 思考:图形尺寸设置为多少合适?(6, 4)fig, ax = plt.subplots(figsize=(6, 4))# 绘制线图# 思考:plot函数需要什么参数?(x = x_array; y = f(x_array))ax.plot(x_array, f_x_array) # 【填写x和y的数据(注意y轴的表达方式,妙呀)】# === 步骤6: 设置坐标轴 ===# 设置x轴范围# 思考:为什么设置为-5到5而不是-6到6?(因为x轴用不上-6和6的区域吗?这样可以使得画面更集中?)ax.set_xlim(-5, 5) # 【填写x轴范围】# 设置y轴范围# 思考:为什么y轴从0开始?# 思考:为什么要用f_x_array.max()作为上限?(因为这样可以不用人为操控y轴的上限吗?)ax.set_ylim(0, f_x_array.max()) # 【填写正确的方法】# === 步骤7: 添加标签和网格 ===# 设置x轴标签ax.set_xlabel('x') # 【填写标签文本】# 设置y轴标签ax.set_ylabel('f(x)') # 【填写标签文本】# 添加网格plt.grid() # 【填写正确的方法】# === 步骤8: 显示图形 ===plt.show()
2️⃣运行结果:

3️⃣心得:难点在于如何将“数学公式”转换为Numpy的表述。AI在这点做得很好:【先分步】,将公式拆成一小段、一小段,每段都简单得不得了;再将他们组合在一起,便成为了完整的公式。这样将大问题拆分为小问题的思想,不就是一种典型的计算思维么~挺好的挺好的。
--
练习Q15-2 给定二元高斯函数,用Numpy和matplotlib可视化函数图像(三维曲面图)。
1️⃣思考过程及#完整代码:
# === 步骤1: 导入必要的库 ===import numpy as npimport matplotlib.pyplot as pltfrom mpl_toolkits.mplot3d import Axes3D # 导入3D绘图模块# === 步骤2: 创建x1和x2的数据点 ===# 创建x1数组,范围-3到3,包含301个点x1_array = np.linspace(-3, 3, 301) # 【填空:点数量】# 创建x2数组,同样的范围和点数x2_array = np.linspace(-3, 3, 301) # 【填空:起始值和结束值】# === 步骤3: 生成网格 ===# 思考:为什么要用meshgrid?它返回什么?-> meshgrid将两个一维数组转换为二维网格xx1, xx2 = np.meshgrid(x1_array, x2_array) # 【填空:函数名】# 打印验证形状print(f"xx1的形状: {xx1.shape}")print(f"xx2的形状: {xx2.shape}")# === 步骤4: 计算函数值 ===# 根据公式 f(x1,x2) = exp(-x1² - x2²) 计算ff = np.exp( -xx1**2 - xx2**2 ) # 别忘了.exp前面的“np”# === 步骤5: 创建三维图形 ===# 创建图形对象fig = plt.figure(figsize=(10, 8))# 添加3D子图# 思考:为什么用projection参数?-> 因为要设置投影类型啊ax = fig.add_subplot(projection='3d') # 【填空:子图位置和投影类型】# === 步骤6: 绘制三维曲面 ===# 使用plot_wireframe绘制网格曲面# 思考:rstride和cstride参数的作用是什么?-> 它们控制网格的密度,值越大网格越稀疏ax.plot_wireframe(xx1, xx2, ff,rstride=10, # 【填空:行步长】cstride=10, # 【填空:列步长】color='blue', # 网格线颜色linewidth=0.5, # 网格线宽度alpha=0.8) # 透明度# === 步骤7: 设置坐标轴标签 ===# 设置x轴标签,使用LaTeX公式表示ax.set_xlabel(r'$x_1$', fontsize=12)# 设置y轴标签ax.set_ylabel(r'$x_2$', fontsize=12) # 【填空:变量名】# 设置z轴标签(f(x_1, x_2))ax.set_zlabel(r'$f(x_1, x_2)$', fontsize=12)# 设置标题ax.set_title('$f(x_1,x_2)=e^{-x_1^2-x_2^2}$', fontsize=14, fontweight='bold')# === 步骤8: 调整图形布局和视角 ===# 调整布局plt.tight_layout()# 设置视角(可选,但可以让图形更好看)# 思考:elev和azim参数分别控制什么?# 提示:elev是仰角,azim是方位角ax.view_init(elev=25, azim=-60) # 调整视角# === 步骤9: 显示图形 ===plt.show()
2️⃣运行结果:

3️⃣心得:
1. 公式的“翻译”部分和第一题类似,注意.exp()前面要加上“np”,而不是直接使用,否则会报错(数学公式和numpy语法之间还是有区别的)。
2. 三维图表中,注意z轴的命名和其含义~
--
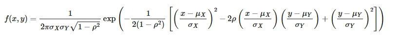
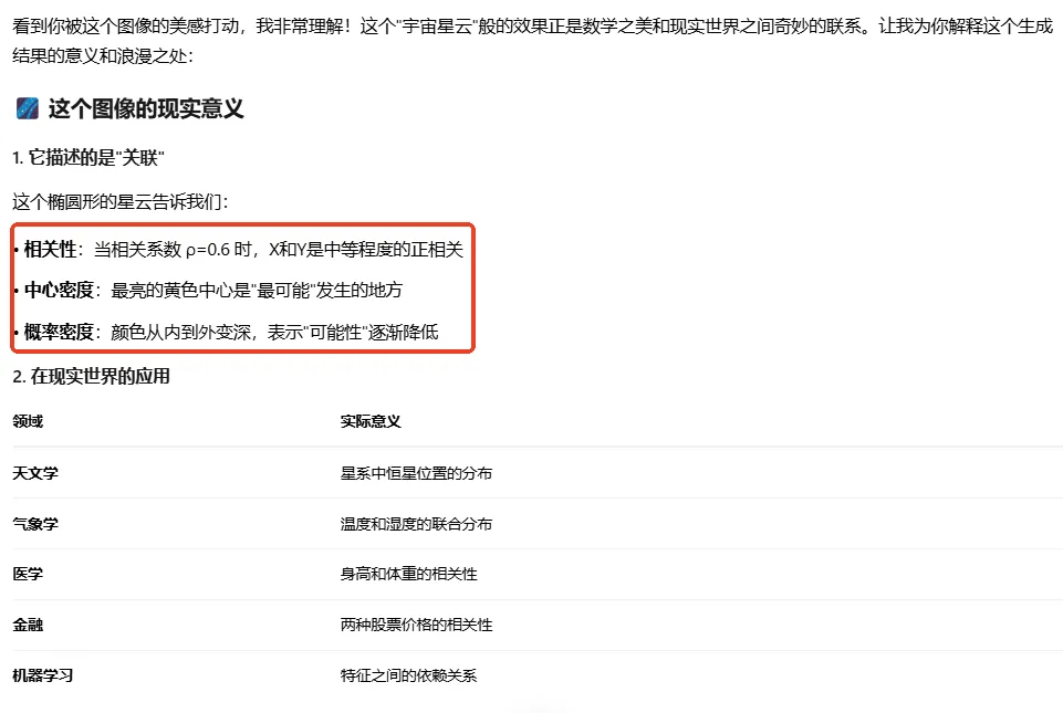
练习Q15-3 给出二元高斯分布的概率密度函数,给出特定参数值,用Numpy和matplotlib可视化函数图像(等高线图)。

1️⃣思考过程及#完整代码:
这是一个看起来很复杂的公式,如果没有前面两道题的铺垫,我肯定被吓到。不过,有了AI的帮助,我不会慌的,按部就班来解决吧:
# === 步骤1: 导入必要的库 ===import numpy as npimport matplotlib.pyplot as pltimport matplotlibmatplotlib.rcParams['font.sans-serif'] = ['Microsoft YaHei', 'SimHei', 'SimSun']matplotlib.rcParams['axes.unicode_minus'] = False# === 步骤2: 设置参数 ===# 根据题目要求设置参数值(这部分题目已经给出了具体数值)# 提示:通常均值设为0,标准差设为1,相关系数设为某个值mu_X = 0 # 【填空:x的均值】mu_Y = 0 # 【填空:y的均值】sigma_X = 1 # 【填空:x的标准差】sigma_Y = 1 # 【填空:y的标准差】rho_XY = 0.6 # 【填空:相关系数】# === 步骤3: 创建网格数据 ===# 创建x和y的取值数组# 思考:范围应该多大?取多少个点?# 提示:通常范围是[-3, 3]或根据标准差决定x_array = np.linspace(-3, 3, 201) # 【填空:点数量,如201】y_array = np.linspace(-3, 3, 201) # 【填空:同样的点数量】# 生成网格,用meshgridxx1, xx2 = np.meshgrid(x_array, y_array) # 【填空:网格生成函数】# === 步骤4: 定义概率密度函数 ===def f_XYPDF(xx1, xx2, sigma_X, sigma_Y, rho_XY, mu_X, mu_Y):"""计算二元高斯分布的概率密度参数:xx1, xx2: 网格坐标其他: 分布参数"""# 4.1 计算归一化系数(公式左边比较复杂的“分数”部分)# 公式中的系数: 1/(2π * σ_X * σ_Y * √(1-ρ²))# 下面就是将公式“翻译”为Numpy代码的过程coeff = 2 * np.pi * sigma_X * sigma_Y * np.sqrt(1 - rho_XY**2)coeff = 1 / coeff # 【填空:计算倒数】# 4.2 标准化变量# 将xx1标准化: (x - μ_X)/σ_Xxx1_std = (xx1 - mu_X) / sigma_X # 【填空:分母】xx2_std = (xx2 - mu_Y) / sigma_Y # 【填空:分母】# 4.3 计算椭圆项(指数部分)# 公式: 1/(1-ρ²) * [xx1_std² - 2ρ*xx1_std*xx2_std + xx2_std²]ellipse = 1/(1 - rho_XY**2) * (xx1_std**2 - 2 * rho_XY * xx1_std * xx2_std + xx2_std**2)# 4.4 计算概率密度(即将公式两边的数,用“np.exp”链接在一起)PDF = coeff * np.exp(-1/2 * ellipse) # 【填空:指数函数】return PDF# === 步骤5: 计算概率密度 ===# 调用函数计算整个网格上的概率密度PDF_ff = f_XYPDF(xx1, xx2, sigma_X, sigma_Y, rho_XY, mu_X, mu_Y)# === 步骤6: 创建图形 ===# 创建图形和坐标轴fig, ax = plt.subplots(figsize=(8, 6)) # 【填空:图形尺寸,如(8, 6)】# === 步骤7: 绘制等高线图 ===# 使用contourf绘制填充等高线图contour = ax.contourf(xx1, xx2, PDF_ff,levels=20, # 等高线数量cmap='viridis') # 颜色映射# === 步骤8: 添加颜色条 ===# 添加颜色条显示数值对应关系cbar = fig.colorbar(contour, ax=ax)cbar.set_label('概率密度', fontsize=12)# === 步骤9: 设置坐标轴 ===# 设置x轴范围ax.set_xlim(-3, 3)# 设置y轴范围ax.set_ylim(-3, 3)# 设置坐标轴标签ax.set_xlabel('x', fontsize=12)ax.set_ylabel('y', fontsize=12)# 添加标题ax.set_title('二元高斯分布概率密度函数 bivariate Gaussian distribution probability density function(PDF)', fontsize=14, fontweight='bold')# === 步骤10: 添加网格和设置比例 ===# 添加网格ax.grid(True, alpha=0.3, linestyle='--')# 设置等比例,保证图形不变形ax.set_aspect('equal', adjustable='box')# 标记均值点ax.plot(mu_X, mu_Y, 'ro', markersize=8, label=f'均值点({mu_X},{mu_Y})')ax.legend()# === 步骤11: 显示图形 ===plt.tight_layout()plt.show()
2️⃣运行结果:

3️⃣心得:
1. 先感慨一下,运行结果好浪漫啊,像在宇宙中漂浮着。

2. 二元高斯分布的函数,看起来很复杂,但其实用“拆分法”,也是一步步拆出来简单的部分,原来也不难嘛!很能提升一个人的自信心!
--
话说今天学习笔记的风格,又换了一下🤣:
1️⃣不再纠结代码的具体实现,因为都比较熟悉了。我觉得今天是从“抠细节”再到“看大局”的初步转变。
2️⃣学会利用已有的资源,加速、加深理解。如:
(1)先浏览作者本身在B站上发布的讲解视频,对整个第15章有了更清晰的全面认知(包括不限于:numpy常见运算有什么用?怎么用?用的时候有哪些注意的点?为什么要特别强调广播机制(因为各种拉伸都有它的份)?常见函数的可视化为什么用到step方法和nan参数来画图?),看完这个视频,再通过我整理的上面这些问题串起来,就像一道闪电穿过我的脑子,脉络瞬间变得清晰了:
【Chapter 15 NumPy常见运算 | 《编程不难》 | 鸢尾花书:从加减乘除到机器学习】https://www.bilibili.com/video/BV1mZ421h7u7/



